Handouts & Homework Assignments
[Home]
[CS381 Assignments]
[Exam Schedule]
[Notices]
A note on reductions.
- Handout #32: [.pdf]
[jpeg: 1]
- Handout #33: [.pdf]
[jpeg: 1 2]
- Handout #34: [.pdf]
[jpeg: 1 2]
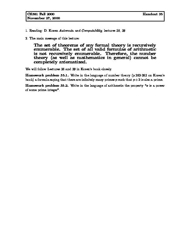
- Handout #35: [.pdf]
[jpeg: 1]
Homework #13 consists of problems from handouts #32-35. It is due on Friday, December 1. This is the last homework of the course. Enjoy! :-)
Solutions
Grading
- Handout #36: [.pdf]
[jpeg: 1 2]
- Handout #37: [.pdf]
[jpeg: 1 2]
Solutions to selected problems from handout #37.
The Alladin Ghostview
(install file for
Windows)
is useful for reading .ps and .pdf files.
- Handout #1: [jpeg: 1 2]
- Handout #2: [jpeg: 1 2]
- Handout #3: [jpeg: 1 2]
Homework #1 was due on Friday, 09/01/00 on the lecture. It consisted of the problems from handouts #1, #2 and #3.
Graded homeworks will be handed back on Friday, 09/08/00.
Solutions (report bugs to
Rohit).
A note on grading
- Handout #4: [jpeg: 1 2]
- Handout #5: [jpeg: 1 2]
Homework #2 is due on Friday, 09/08/00 on the lecture. It consists of the problems from handouts #4 and #5. Solutions
- Handout #6: [jpeg: 1 2]
- Handout #7: [jpeg: 1 2]
- Handout #8: [jpeg: 1 2]
Homework #3 is due on Friday, 09/15/00 on the lecture. It consists of the problems from handouts #6, #7 and #8.
Solutions
Grading
- Handout #9: [jpeg: 1 2]
[gif: 1 2]
- Handout #10: [jpeg: 1 2]
[gif: 1 2]
- Handout #11: [jpeg: 1 2]
[gif: 1 2]
Homework #4 is due on Friday, 09/22/00 on the lecture. It consists of the problems from handouts #9, #10 and #11.
Solutions
Grading
- Handout #12: [jpeg: 1 2]
[gif: 1 2]
- Handout #13: [jpeg: 1 2]
[gif: 1 2]
- Handout #14: [.pdf]
[jpeg: 1 2]
Homework #5 is due on Friday, 09/29/00 on the lecture. It consists of the problems from handouts #12, #13 and #14.
If you submitted solutions to problems from handout #12 with Hw4, please resubmit with Hw5.
Solutions
The practice kit for Quiz#1
- Handout #15: [jpeg: 1 2]
[gif: 1 2]
- Handout #16: [jpeg: 1 2]
[gif: 1 2]
- Handout #17: [.pdf]
[jpeg: 1 2]
There was no handout handed out on October 2. Homework #6 is due on Wednesday October 11, after the Fall Break.
Homework #7 is due on Friday, 10/13/00. It consists of the problems from handout #17.
Solutions
Grading
- Handout #18: [.pdf]
[jpeg: 1]
- Handout #19: [.pdf]
[jpeg: 1 2]
- Handout #20: [jpeg: 1 2]
[gif: 1 2]
Homework #8 is due on Friday, 10/20/00. It consists of the problems from handout #18, #19 and #20.
Solutions
Grading
Homework #9 is due on Friday, 10/27/00. It consists of the problems from handout #21, #22 and #23.
Solutions
Grading
- Handout #24: [.pdf]
[jpeg: 1 2]
- Handout #25: [.pdf]
[jpeg: 1 2]
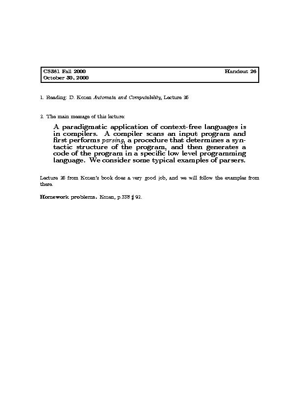
- Handout #26: [.pdf]
[jpeg: 1]
Homework #10 is due on Friday, 11/03/00. It consists of the problems from handout #24, #25 and #26.
Solutions
Grading
The practice kit for Quiz#2
I (Martin) advise you to read a note about the use of the pumping lemma.
- Handout #27: [.pdf]
[jpeg: 1]
- Handout #28: [jpeg: 1 2]
[gif: 1 2]
- Handout #29:
[gif:]
Homework #11 is due on Friday, 11/10/00. It consists of the problems from handout #29. The full statements of all problems for HW#11 are in the handout 29, so you do not need to borrow the Hopcroft&Ullman book. You do not have to solve
the problem 27.2 (H&U, p. 143, 6.18a).
Solutions (problems 27.1 and 29.1 need some patching; hopefully comming soon)
Grading
- Handout #30: [.pdf]
[jpeg: 1 2]
- Handout #31: [.pdf]
[jpeg: 1 2]
Homework #12 consists of problems from handouts #30 and #31.
The homework due date is extended to Monday, 11/20/00.
Solutions
Grading