Class Schedule
 
CS 322 Introduction to Scientific Computing
Spring 2008

Cornell University
Prof. Doug James

Date
Topic
Material
Graded
Problems
Mon Jan 21
Overview

C&K Readings:
  • 1.1 Preliminary Remarks
  • 1.2 Review of Taylor Series
  • Appendix D:  Linear Algebra Concepts and Notation


Wed Jan 23
No class Blog setup:

Mon Jan 28
Locating Roots of Equations:
Bisection Method

  • Reading & Problems:
    • C&K 3.1 "Bisection Method"
    • Answered 3.1 problems:
      • Try problems:  1, 4, 9, 10, 12, 21
      • Try computer problem using Matlab: 10 (Wilkinson polynomial)
  • Demos:
HW1
Due Wed Feb 6

3.1.13: relative error
3.2.25: sqrt(R)
Wed Jan 30
Locating Roots of Equations:
Newton's Method


Thu/Fri
Tutorial
Sessions
Session 1:
Root Finding
Questions selected from:
  • C&K 3.1 (Bisection): 8, 12, 23
  • C&K 3.2 (Newton): 1, 2, 22 (cubeRoot), 23 (1/x)

Mon Feb 4
Locating Roots of Equations:
Secant Method

  • Reading & Problems:
    • C&K 3.3 "Secant Method"
    • Try answered problems
  • Demos:

Wed Feb 6
Programming Assignment #1:
Rendering Implicit Surfaces
using Root Finding

Materials:
HW2
Due Wed Feb 13


Computer Problem 1.1.3

Computer Problem 2.1.7
Computer Problem 2.1.8

3.3.5
Largest root using
Bisection, Newton and Secant
(moved to next week)

Thu/Fri
Tutorial
Sessions
Session 2:
Root Finding and Assignment
Questions selected from:
  • 1.1.6 & 1.1.8  Nested multiplication
  • 3.1.22  Bisecting to machine precision
  • 3.2.32  Extending Newton:  a cubically convergent root finding scheme
  • 3.3.1  Secant: 4^0.75
  • 3.3.9  Secant: sqrt
  • 3.3.10 Secant: subtractive cancellation (aka catastrophic cancellation) 

Mon Feb 11
Wed Feb 13
Polynomial Interpolation

Materials:

HW3
Due Wed Feb 27

3.3.5
Largest root using
Bisection, Newton and Secant
(EXTENDED DEADLINE)
Thu/Fri
Tutorial
Sessions
Session 3:
Lagrange Interpolation,
and review
Questions selected from:
  • Unfinished questions from previous week, e.g.,
    • 3.3.1  Secant: 4^0.75
    • 3.3.9  Secant: sqrt
    • 3.3.10 Secant: subtractive cancellation (aka catastrophic cancellation)
  • Lagrange Interpolation:
    • 4.1.1,  4.1.3,  4.1.4,  4.1.5

Mon Feb 18
More Interpolation

Materials:
  • 4.1 Polynomial Interpolation (Wrap up)
    • p.131-138 Computing divided differences
    • p.144 Interpolating bivariate functions
    • p.141 Inverse interpolation (root finding)
  • 4.2 Errors in Polynomial Interpolation (briefly)

Tues Feb 19
Preliminary Exam #1


Details:
  • Time:  7:30pm
  • Where:  B17 Upson
  • Closed book exam
  • Allowed 1 sheet of notes
  • Calculators permitted (but not necessary)
  • Covers material covered in lecture, HW or sessions from:
    • 1.1 Prelim Remarks
    • 1.2 Review of Taylor Series
    • 3. Locating Roots
      • 3.1 Bisection method
      • 3.2 Newton's method
      • 3.3 Secant method
    • 4. Polynomial Interpolation (part)
      • 4.1 Lagrange Interpolation material only
        • Practice questions: P4.1: 1, 3, 4, 5

Wed Feb 20
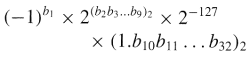
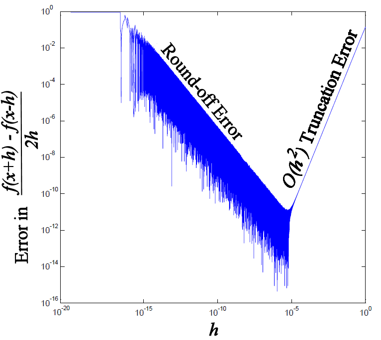
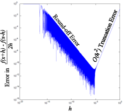
Estimating Derivatives

Materials:
  • 4.3 C&K
    • See answered problems
  • Finite difference estimates of derivatives
    • Taylor series (pp. 164-66, 173)
    • Newton interpolation (pp. 170-173)
    • Truncation error and round-off error (pp. 165-166)
  • Preview of Richardson Extrapolation
Reminder: No HW due today
Thu/Fri
Tutorial
Sessions
Newton Interpolation,
and Estimating Derivatives
Questions selected from:
  • C&K 4.1: Newton Interpolation:
    • 4.1.7a, 4.1.8, 4.1.9
  • C&K 4.3: Estimating Derivatives:
    • 4.3.1, 4.3.6, 4.3.9a

Mon Feb 25
Richardson Extrapolation and
Romberg Integration

Materials:
  • C&K 4.3:  Richardson extrapolation (pp. 166-170)
    • Answered problems:  4.16, 4.20
  • C&K 5.3: Romberg Algorithm (pp. 204-)

Wed Feb 27
Pause for reflection
Materials:
  • Recap: Richardson extrapolation
    • Examples 1
  • Preliminary Exam
    • Results
    • Solution take-up (solution in CMS)
  • "How are we doing?" questionnaire
    • "An Early-Course Evaluation"
HW4
Due Wed Mar 5


4.3.8b
  f''(x) formula
4.3.18  Richardson
Thu/Fri
Tutorial
Sessions
Estimating Derivatives, and
Richardson Extrapolation
Questions selected from:
  • Derivatives:
    • C&K 4.3.3, 4.3.10
  • Richardson:
    • C&K 4.3.15, 4.3.19

Mon Mar 3
Floating Point, and BLAS


Materials:

Wed Mar 5
Gaussian Elimination, and
LU Factorization


Materials:
  • Motivating Ax=b: Newton's method for systems of nonlinear equations (pp. 96-99)
  • C&K 7.1: Naive Gaussian Elimination
    • See answered problems (1, 2, 3ab, 4, 5, 6, 7abc)
  • C&K 8.1: Matrix Factorizations
    • See pp. 293-302 (on LU factorization)
    • See answered problems (1-8)
  • PDF slides (from text;  includes a few more on LU factorization from chalkboard)
HW5
Due Wed Mar 12

7.1.7e

Computer Problems:
CP 4.1.2
CP 4.3.2
(test on  functions from CP4.3.1; use h=1)
CP 8.1.2 (postponed until next week)

Clarifications:
TBD
Thu/Fri
Tutorial
Sessions
Richardson Extrapolation,
Floating Point,
Gaussian Elim & LU Factorization
Questions selected from:
  • 4.1.23  Divided difference table (failure)
  • 7.1.3d  Naive Gaussian elimination (failure)
  • 7.1.7a  Naive Gaussian elimination
  • 8.1.1b  LU
  • Floating point (time permitting):
    • 2.1.6ab
    • 2.1.10
    • 2.1.12

Mon Mar 10
Matrix Factorizations (cont'd)


Materials:

Wed Mar 12
The Singular Value Decomposition; and Least Squares
Materials:

HW5
Due Wed Mar 26 (after break)

CP 8.1.2 (postponed earlier)
8.1.7 Hilbert
8.1.21 LDL'

Programming Assignment #2:
The ShadowBox

Materials:

Thu/Fri
Tutorial
Sessions
Matrix Factorizations
Questions selected from:
  • Last week's session, and...
  • 8.1 Matrix Factorizations


Mon Mar 17
No Class (March Break)





Wed Mar 19
Mon Mar 24
Method of Least Squares

Materials:
  • C&K 12.1  "Method of Least Squares"
    • pp. 495-504  (redundant slides)
    • See answered problems
  • Discussion of ShadowBox assignment

Wed Mar 26

Method of Least Squares (cont'd);
QR Factorization


Materials:
HW6
Due next Wed Apr 2
(Solutions out Mon)

12.1.6 Find "c"
12.1.14 Line fitting
CP 12.3.4  Rational linear
Thu/Fri
Tutorial
Sessions
Method of Least Squares
Questions selected from:
  • C&K 12.1 "Method of Least Squares"
    • Problems 1, 3, 5, 11, 13

Mon Mar 31

QR Factorization


Materials:


Wed Apr 2
Recitation
Materials:
  • Blackboard

No HW this week (due to prelim2)
Thurs Apr 3
Preliminary Exam #2

Details:
  • Main Exam
    • Time:  7:30pm-9:00pm
    • Where:  B17 Upson
  • Conflicts-only Exam:
    • Time: 6:15pm-7:45pm
    • Where: 315 Upson
  • Closed book exam
  • Allowed 1 sheet of notes
  • Calculators permitted (but not necessary)
  • Covers material covered in lecture, HW or sessions from:
    • 4.1 Newton Interpolation
    • 4.3 Estimating Derivatives & Richardson Extrapolation
    • 2.1 Floating-Point Representation
    • 7.1 Naive Gaussian Elimination
    • 8.1 Matrix Factorizations (LU, LDL', Cholesky); computation and usage
    • No SVD material (defer to final)
    • 12.1 Method of Least Squares

Thu/Fri
Tutorial
Sessions
Q/A Sessions


Mon Apr 7

Wed Apr 9

Numerical Integration

Trapezoid Rule


Materials:

  • C&K 5.2 Trapezoid Rule
    • Composite rule
    • Recursive evaluation (equal subintervals)
  • C&K 5.3 Romberg Algorithm
  • Newton-Cotes Quadrature Rules
    • See C&K 6.1
    • Construction from Lagrange interpolating polynomials, and also book's method of undetermined coefficients
    • Newton-Cotes Quadrature Demo (Heath)
  • Adaptive Quadrature Demo (Heath)


"HW 8"

  • PDF
  • Due next Wed April 16 (in class)
Thu/Fri
Tutorial
Sessions
QR Factorization, and Numerical Integration

Questions selected from:

  • Modified Gram-Schmidt, and QR Factorization
  • C&K 5.2 Trapezoid Rule
    • Problems 1, 9
  • C&K 5.3 Romberg Algorithm
    • Problems 5, 11, 14, 22

Mon Apr 14

Wed Apr 16

Numerical Integration of Ordinary Differential Equations (ODEs)


Materials:

"HW 9"

  • C&K 10.2.7 RK3
  • C&K 10.2.9
  • C&K 11.2.11
  • Due next Wed Apr 23 (in class)

Programming Assignment #3:
Particle Advection

Particles advected by a turbulent flow

Materials:


Thu/Fri
Tutorial
Sessions
Numerical Integration of ODEs

Questions selected from:

  • C&K 10.1 "Taylor Series Methods"
    • Problems 5, 6, 10
  • C&K 10.2 "Runge-Kutta Methods"
    • Problems 2, 3, 8
 
Mon Apr 21

Monte Carlo Methods (& ODE wrap-up)

Materials:

  • ODEs:
    • C&K 11.1 "Methods for First-Order Systems"
    • C&K 11.2 "Higher-Order Eqns & Systems"
    • Demos
  • Monte Carlo Methods
  • Discuss prelim2 exam
 
Wed Apr 23

Principal Component Analysis (PCA)


Materials:


Mon Apr 28 No class    
Wed Apr 30 Course Review Q&A

Other announcements:

  • Course evaluations
    • Fill out the form online.
    • Suggestions welcome
HW9 back
Thu/Fri Tutorial Sessions



Wed May 7

Final Exam

 

Details:

  • When: 7:00pm start
  • Where: Upson B17
  • Logistics:
    • Closed book exam
    • Allowed 1 sheet of notes
    • Calculators permitted
  • Exam is comprehensive: Covers all material from lecture, HW and sessions.
  • Previous exams: