DATE
|
TOPICS
|
SUPPLEMENTAL
MATERIALS
|
| ThJan22 |
Introduction
|
Readings:
- An interesting historical
perspective:
- Terzopoulos, D., Platt, J., Barr, A., Zeltzer, D.,
Witkin, A., and Blinn, J. 1989. Physically
based modeling: past, present, and future. In
ACM SIGGRAPH 89
Panel Proceedings (Boston, Massachusetts,
United States, July 31 - August 04, 1989). SIGGRAPH
'89. ACM Press, New York, NY, 191-209.
|
| TuJan27 |
Particle Systems
|
Material:
|
ThJan29
|
Review:
Tensor Calculus
|
Discussed differentiating
the following quantities with respect to particle position
vectors, p_i:
- constant, c
- position, p_j
- vectors, (p_j-p_k)
- distances, ||p_j-p_k||
- distance powers, ||p_j-p_k||^n
- functions of distance, W(||p_j-p_k||)
- dot products, (p_1-p_0)^T (p_3-p_2)
- cross products
- Example: hair bending energy derivative, E =
k*sin^2(theta/2) [handout]
Other topics:
|
TuFeb03
ThFeb05
|
Constrained Dynamics
|
Material:
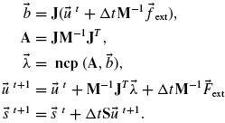
- Holonomic constraints, C(p)=0.
- Example: Bead on a wire
- Differentiating constraints w.r.t. time.
- Constraint Jacobian, J
- Lagrange multipliers, lambda, and constraint forces,
J^T lambda
- Solving for Lagrange multipliers
- (Implicit constraint (and half-explicit) DAE
integration schemes)
- Post-step projection schemes
- Position- vs velocity-based corrections
- Applications: Mechanical linkages, inextensibility
constraints, incompressible flow, contact constraints
Written
Homework (Due Thurs Feb 12)
References:
- David Baraff and Andrew Witkin, Physically
Based
Modeling, Online
SIGGRAPH
2001 Course Notes, 2001.
- Examples from Cloth
Simulation:
- Rony Goldenthal, David Harmon, Raanan Fattal, Michel
Bercovier, Eitan Grinspun, Efficient Simulation of
Inextensible Cloth, ACM Transactions on
Graphics, 26(3), July 2007, pp.
49:1-49:7. [ACM Digital Library link]
- Jonathan
M. Kaldor, Doug L. James, Steve Marschner, Simulating Knitted
Cloth at the Yarn Level, ACM Transactions on
Graphics, 27(3), August 2008, pp. 65:1-65:9.
[Advanced] References for Differential-Algebraic
Equations (DAEs):
|
TuFeb10
ThFeb12
|
Particle-based Fluids
|
Material:
- Smoothed Particle Hydrodynamics (SPH)
- Matthias Müller, David Charypar,
Markus Gross, Particle-based
fluid simulation for interactive applications,
2003
ACM SIGGRAPH / Eurographics Symposium on Computer
Animation (SCA 2003), August
2003, pp. 154-159. [Video]
- Miles
Macklin and Matthias Müller. Position
Based Fluids. ACM Trans. Graph. 32, 4,
Article 104 (July 2013), 12 pages. (other
videos)
- Liu, G. Gui-Rong, and M. B. Liu. Smoothed
particle hydrodynamics: a meshfree particle
method. World Scientific,
2003.
- Wikipedia
- Takahiro Harada, Seiichi Koshizuka, Yoichiro
Kawaguchi, Smoothed Particle
Hydrodynamics on GPUs, Computer Graphics
International, pp. 63-70, 2007.
- B. Solenthaler, R. Pajarola, Predictive-Corrective
Incompressible
SPH, ACM Transactions on Graphics,
28(3), July 2009,
pp. 40:1-40:6. [PDF]
[YouTube
Video]
- SIGGRAPH fluids course: [SPH
pages (pp. 83-86)]
- Bridson, R., Fedkiw, R., and Muller-Fischer, M.
2006. Fluid simulation:
SIGGRAPH 2006 course notes, In ACM
SIGGRAPH 2006 Courses (Boston, Massachusetts, July 30
- August 03, 2006). SIGGRAPH '06. ACM Press, New York,
NY, 1-87. [Slides, Notes]
- Robert
Bridson, Fluid Simulation for
Computer Graphics, A K Peters, 2008.
[Book format]
- Granular materials:
- ../2014sp/images/thumb_symplecticEuler.jpgNathan
Bell, Yizhou
Yu, and Peter
J. Mucha, Particle-Based Simulation of
Granular Materials, ACM SIGGRAPH/
Eurographics Symposium on Computer Animation 2005,
[PDF]
[Video]
- Coupling SPH and rigid-body simulations (advanced):
- N. Akinci, M. Ihmsen, G. Akinci, B. Solenthaler, M.
Teschner, Versatile
Rigid-Fluid Coupling for Incompressible SPH,
ACM Trans. Graph. (SIGGRAPH Proc.), 2012. [PDF]
[AVI]
- Isosurface extraction
- Rendering
|
| ThFeb12 |
Assignment #1:
Position Based Fluids
|
Project webpage.
Starter code is on CMS. |
TuFeb17
|
Winter Break
|
No class
|
ThFeb19
|
Basic Integrators
|
Material:
- Forward
Euler
- Backward
Euler
- Symplectic
Euler (a.k.a. semi-implicit Euler); symplectic
Euler adjoint
- E. Hairer, C. Lubich, and G. Wanner.
Geometric Numerical Integration.
Structure-Preserving Algorithms for Ordinary
Differential Equations., Springer Series in Comput.
Mathematics, Springer-Verlag, volume 31, 2002.
- Midpoint
method
- Verlet
method (a.k.a. Störmer's method)
- Stability analysis of forward & backward Euler
schemes on test problem
|
TuFeb24
ThFeb26
|
Implicit Integration;
IMEX and other schemes
|
Material:
- Blackboard
- David Baraff
and Andrew Witkin, Physically
Based
Modeling, Online
SIGGRAPH
2001 Course Notes, 2001.
- Implicit Methods (Baraff)
- David
Baraff, Andrew P. Witkin, Large
Steps
in
Cloth Simulation, Proceedings of SIGGRAPH
98, Computer Graphics Proceedings, Annual Conference
Series, July 1998, pp. 43-54.
- Implicit-Explicit (IMEX)
integration schemes:
- Ascher,
Ruuth, Wetton, Implicit-Explicit
Methods for Time-Dependent Partial
Differential Equations, SIAM J.
Num. Anal. 32, pp. 797-823, 1995.
- Bernhard
Eberhardt, Olaf Etzmuß, Michael Hauth, Implicit-Explicit
Schemes for Fast Animation with Particle
Systems, Computer Animation and
Simulation 2000, Proceedings of the EG Workshop in
Interlaken, 21-22 August, 2000.
- Example:
"Going implicit on damping"
|
ThFeb26
TuMar03
ThMar05
|
Position Based Dynamics,
and other relaxation-based dynamics
|
References:
- M. Müller, B. Heidelberger, M. Hennix, J. Ratcliff, Position
Based Dynamics, Proceedings
of Virtual Reality Interactions and Physical
Simulations (VRIPhys), pp 71-80, Madrid, November
6-7 2006, Best Paper Award, PDF, (video), (slides)
- Jos Stam, Nucleus:
Towards a Unified Dynamics Solver for Computer
Graphics, 2009 Conference Proceedings: IEEE
International Conference on Computer-Aided Design and
Computer Graphics, pp. 1-11, 2009. (related talk)
- T. Jakobsen, Advanced
Character Physics, Game Developer
Conference, 2001.
- Miles Macklin, Matthias Müller, Nuttapong Chentanez,
and Tae-Yong Kim. 2014. Unified
particle physics for real-time applications.
ACM Trans. Graph. 33, 4, Article 153 (July 2014), 12
pages. [ACM
link]
- Sofien Bouaziz, Sebastian Martin, Tiantian Liu,
Ladislav Kavan, and Mark Pauly. 2014. Projective
dynamics: fusing constraint projections for fast
simulation. ACM Trans. Graph. 33, 4, Article
154 (July 2014), 11 pages. [ACM
link]
|
|
Assignment #2:
Position Based Dynamics
|
Project webpage. Starter code
on CMS.
|
ThMar05
TuMar10
|
Robust Collision Processing
|
Material:
- Motivation:
cloth and hair animation
- Continuous
collision detection
- 2D/3D
sphere-sphere, 2D (point-edge), and 3D (point-face,
edge-edge) tests
- Velocity-level
collision resolution; collision impulses
- Supporting
pin/trajectory constraints
- Inverse-mass-matrix
filtering
- Penalty
forces
- Rigid cloth
zones
- Untangling
cloth
References:
- Cloth related:
- Robert
Bridson, Ronald P. Fedkiw, John Anderson, Robust Treatment of
Collisions, Contact, and Friction for Cloth
Animation, ACM Transactions on Graphics,
21(3), July 2002, pp. 594-603
- A. Selle,
J. Su, G. Irving, and R. Fedkiw, Robust
High-Resolution Cloth Using Parallelism,
History-Based Collisions and Accurate Friction, IEEE Transactions on
Visualization and Graphics (TVCG), 15(2),
339-350.
- T. Brochu,
E. Edwards, and R. Bridson, Efficient
Geometrically Exact Continuous Collision
Detection, Proc. SIGGRAPH 2012. (open-source
code, project)
(method to avoid the nonrobustness
of "cubic solver approach" for 3D cloth)
- Robust
Treatment of Simultaneous Collisions, David
Harmon, Etienne Vouga, Rasmus Tamstorf, Eitan
Grinspun, ACM Transactions on Graphics, 27(3),
August 2008, pp. 23:1-23:4. (equality-constraint
alternative to rigid cloth zones)
- X. Provot,
Collision and self-collision handling in cloth model
dedicated to design garment. Graphics Interface,
177–89, 1997. (first introduction of rigid cloth
zones)
- General collision detection:
- M. Lin and S.
Gottschalk, Collision
detection between geometric models: A
survey, Proc. of IMA
Conference on Mathematics of Surfaces,
volume 1, pp. 602-608, 1998.
- P. Jimenez, F.
Thomas, and C. Torras, 3D collision
detection: A survey,
Computers & Graphics, Elsevier, 25(2),
pp. 269-285, 2001.
- Gino Van Den
Bergen, Efficient
collision detection of complex deformable
models using AABB trees, Journal of
Graphics Tools, 1998
- Untangling
cloth interpenetrations:
- David
Baraff, Andrew Witkin, and Michael Kass. 2003. Untangling
Cloth. ACM Trans. Graph. 22, 3 (July
2003), 862-870.
|
TuMar10
ThMar19
|
Rigid
Body Simulation
|
Material:
- Rigid body
dynamics
- Position,
orientation, linear/angular velocity, momentum,
inertia, equations of motion, etc.
- Euler's
equations of angular rigid-body dynamics (in
body coordinates)
- Contact
impulses
- Example:
"rigid damping"
- Frictionless
contacts:
- Nonpenetration
constraints
- Velocity-level
constraints (see Baraff course notes for
acceleration-level constraints)
- Linear
Complementarity Problem (LCP)
References:
- David Baraff
and Andrew Witkin, Physically
Based
Modeling, Online
SIGGRAPH
2001 Course Notes, 2001.
- (see cloth
references for rigid cloth zones)
|
ThMar12
TuMar17
|
Rigid Body Sound
Guest Lecturer: Tim
Langlois
|
Material:
- Modal sound
synthesis
- Precomputed
acoustic transfer
- Precomputed
acceleration noise
- Compression
techniques
References:
- K. van den
Doel and D. K. Pai, The
Sounds of Physical Shapes, Presence:
Teleoperators and Virtual Environments, 7:4, The MIT
Press, 1998. pp. 382--395.
- Kees van den
Doel, Paul G. Kry, Dinesh K. Pai, FoleyAutomatic:
Physically-Based Sound Effects for Interactive
Simulation and Animation, Proceedings of ACM
SIGGRAPH 2001, Computer Graphics Proceedings, Annual
Conference Series, August 2001, pp. 537-544. [Video]
- Dinesh K.
Pai, Kees van den Doel, Doug L. James, Jochen Lang,
John E. Lloyd, Joshua L. Richmond, Som H. Yau, Scanning
Physical Interaction Behavior of 3D Objects,
Proceedings of ACM SIGGRAPH 2001, Computer Graphics
Proceedings, Annual Conference Series, August 2001,
pp. 87-96. [Video]
- James F.
O'Brien, Perry R. Cook, Georg Essl, Synthesizing
Sounds From Physically Based Motion, Proceedings
of ACM SIGGRAPH 2001, Computer Graphics Proceedings,
Annual Conference Series, August 2001, pp. 529-536.
- Perry R.
Cook, Sound
Production and Modeling, IEEE Computer Graphics
& Applications, 22(4), July-August 2002, pp.
23-27.
- James F.
O'Brien, Chen Shen, and Christine M. Gatchalian. Synthesizing
sounds from rigid-body simulations. In The ACM
SIGGRAPH 2002 Symposium on Computer Animation, pages
175–181. ACM Press, July 2002.
- Doug L.
James, Jernej Barbić and Dinesh K. Pai, Precomputed
Acoustic Transfer: Output-sensitive, accurate sound
generation for geometrically complex vibration
sources, ACM Transactions on Graphics, 25(3),
pp. 987-995, July 2006, pp. 987-995.
- Changxi
Zheng and Doug L. James, Rigid-Body
Fracture Sound with Precomputed Soundbanks, ACM
Transactions on Graphics (SIGGRAPH 2010), 29(3), July
2010, pp. 69:1-69:13.
- Changxi
Zheng and Doug
L. James, Precomputed
Acceleration Noise for Improved Rigid-Body Sound, ACM Transactions on Graphics, August 2012.
- Steven
S. An , Doug
L. James, and Steve
Marschner, Motion-driven
Concatenative Synthesis of Cloth Sounds, ACM Transactions on Graphics, August 2012.
- Timothy
R. Langlois, Steven S. An, Kelvin K. Jin, and
Doug L. James. Eigenmode
Compression for Modal Sound Models. ACM
Transactions on Graphics (SIGGRAPH 2014). 33(4),
August, 2014.
|
ThMar19
...
|
Rigid
Body Contact:
Impulse- and Constraint-based Methods
|
Material:
- General
discussion of contact methods, with specific
discussions of typical impulse-based [Guendelman et
al. 2003] and constraint-based [Erleben et al. 2007]
solvers.
- Excellent
recent review:
- Impulse-based
contact
solvers:
- Brian Mirtich,
John Canny, Impulse-based
Simulation of Rigid Bodies, 1995
Symposium on Interactive 3D Graphics, April 1995,
pp. 181-188.
- Eran Guendelman, Robert Bridson,
Ronald P. Fedkiw, Nonconvex Rigid Bodies
With Stacking, ACM Transactions on
Graphics, 22(3), July 2003, pp. 871-878. [an iterative
impulse-based solver]
- Projected Gauss-Seidel solver:
- K.
Erleben, Stable,
robust,
and
versatile multibody dynamics animation. Ph.D.
thesis, Department of Computer Science, University
of Copenhagen, Denmark, 2005. [avi movie]
- K.
Erleben, Velocity-based shock
propagation for multibody dynamics animation,
ACM Trans. Graph. 26, 2, Jun. 2007.
- Projected
Jacobi solver:
- SIAM
Review of rigid-body contact:
- "Staggered Projections" method:
- A good reference on convex
optimization:
- Stephen
Boyd and Lieven Vandenberghe, Convex Optimization,
Cambridge University Press, 2004.
- Stanford
lecture notes/book [PDF]
|
| TuMar24 |
Final Project Idea Blitz!
|
A whirlwind discussion of ideas and
paper references to inspire your final project choice.
|
ThMar26
|
Project working class
|
Working meeting to discuss A2-Part II
(due FriMar27) and final project ideas with Tim Langlois
(TA).
- No lecture.
- Prof James
away--chairing SIGGRAPH 2015 Technical Papers
committee meeting in Chicago.
|
TuApr07
ThApr09
|
Fluid Animation
|
Materials:
- Jos Stam,
Stable Fluids,
Proceedings of SIGGRAPH 99, Computer Graphics
Proceedings, Annual Conference Series, August 1999,
pp. 121-128. [Slides
and notes]
- Ronald
Fedkiw, Jos Stam, Henrik Wann Jensen, Visual Simulation of
Smoke, Proceedings of ACM SIGGRAPH
2001, Computer Graphics Proceedings, Annual Conference
Series, August 2001, pp. 15-22. (introduces vorticity confinement
forces)
- Bridson, R.,
Fedkiw, R., and Muller-Fischer, M. 2006. Fluid simulation:
SIGGRAPH 2006 course notes, In ACM
SIGGRAPH 2006 Courses (Boston, Massachusetts, July 30
- August 03, 2006). SIGGRAPH '06. ACM Press, New York,
NY, 1-87. [Slides,
Notes]
|
Reading
|
The Conjugate Gradient Method
|
Material:
- Jonathan
Richard Shewchuk, An Introduction to the
Conjugate Gradient Method Without the Agonizing Pain, August 1994. PDF
(516k,
58
pages)
- G.H. Golub
and C.F. Van Loan, Matrix
Computations, 4th Edition, Johns Hopkins
University Press, 2013.
|
TuApr14
|
Shape Matching Methods
 |
Material:
- Matthias
Müller, Bruno Heidelberger, Matthias Teschner, Markus
Gross, Meshless
deformations based on shape matching, ACM
Transactions on Graphics, 24(3), August 2005, pp.
471-478. [ACM]
[PDF] [AVI]
- Alec R.
Rivers, Doug L. James, FastLSM: Fast Lattice
Shape Matching for Robust Real-Time Deformation,
ACM Transactions on Graphics, 26(3), July 2007, pp.
82:1-82:6. [ACM] [PDF]
- Denis
Steinemann, Miguel A. Otaduy, Markus Gross, Fast Adaptive Shape
Matching Deformations, ACM
SIGGRAPH/Eurographics Symposium on Computer Animation,
Dublin, July 7-9, 2008. [PDF] [AVI]
- Matthias
Müller and Nuttapong Chentanez. Solid simulation
with oriented particles. ACM Trans. Graph. 30,
4, Article 92 (July 2011), 10 pages, 2011. [ACM]
[PDF]
[MOVIE]
|
ThApr16
|
Fracture Animation
|
Material:
- Demetri
Terzopoulos, Kurt Fleischer, Modeling
Inelastic Deformation: Viscoelasticity,
Plasticity, Fracture,Computer Graphics
(Proceedings of SIGGRAPH 88), August 1988, pp.
269-278.
- James F.
O'Brien, Jessica K. Hodgins, Graphical
Modeling and Animation of Brittle Fracture, Proceedings
of SIGGRAPH 99, Computer Graphics Proceedings,
Annual Conference Series, August 1999, pp.
137-146.
- James F.
O'Brien, Adam W. Bargteil, Jessica K. Hodgins, Graphical
Modeling and Animation of Ductile Fracture, ACM
Transactions on Graphics, 21(3), July 2002, pp.
291-294.
- Neil Molino,
Zhaosheng Bao, Ron Fedkiw, A
virtual node algorithm for changing mesh topology
during simulation, ACM
Transactions on Graphics, 23(3), August 2004,
pp. 385-392.
- M. Müller,
M. Gross, Interactive
Virtual Materials, in
Proceedings of Graphics Interface (GI 2004), pp
239-246, London, Ontario, Canada, May 17-19, 2004. (Video)
- Mark Pauly,
Richard Keiser, Bart Adams, Philip Dutré, Markus
Gross, Leonidas J. Guibas, Meshless
animation of fracturing solids, ACM
Transactions on Graphics, 24(3), August 2005,
pp. 957-964. [ACM]
(Video)
[PDF]
- Hayley N.
Iben, James F. O'Brien, Generating
Surface Crack Patterns, 2006
ACM SIGGRAPH / Eurographics Symposium on Computer
Animation, September 2006, pp. 177-186.
- Denis
Steinemann, Miguel A. Otaduy, Markus Gross, Fast
Arbitrary Splitting of Deforming Objects, 2006
ACM SIGGRAPH / Eurographics Symposium on Computer
Animation, September 2006, pp. 63-72. (Video)
- Bao, Z.,
Hong, J.-M., Teran, J. and Fedkiw, R., Fracturing
Rigid Materials, IEEE
TVCG 13, 370-378 (2007).
- Eftychios
Sifakis, Kevin G. Der, Ronald
Fedkiw, Arbitrary
Cutting of Deformable Tetrahedralized Objects,2007
ACM SIGGRAPH / Eurographics Symposium on Computer
Animation, August 2007, pp. 73-80.
- Eric G.
Parker and James F. O'Brien, Real-Time
Deformation and Fracture in a Game Environment, In
Proceedings of the ACM SIGGRAPH/Eurographics
Symposium on Computer Animation, pages 156–166,
August 2009.
- Su, J.,
Schroeder, C. and Fedkiw, R., Energy
Stability and Fracture for Frame Rate Rigid Body
Simulations,ACM SIGGRAPH/Eurographics
Symposium on Computer Animation (SCA), edited by
Eitan Grinspun and Jessica Hodgins, pp. 155-164
(2009).
- Changxi
Zheng, Doug L. James, Rigid-Body
Fracture Sound with Precomputed Soundbanks, ACM
Transactions on Graphics, 29(4), July 2010, pp.
69:1-69:13.
- M Müller, N
Chentanez, TY Kim, Real
time dynamic fracture with volumetric approximate
convex decompositions, ACM Transactions on
Graphics (TOG), 2013. [Video]
- Oleksiy
Busaryev, Tamal K. Dey, and Huamin Wang. 2013. Adaptive
fracture simulation of multi-layered thin plates.
ACM Trans. Graph. 32, 4, Article 52 (July 2013). [Video]
- Zhili Chen,
Miaojun Yao, Renguo Feng, and Huamin Wang. 2014.
Physics-inspired adaptive fracture refinement. ACM
Trans. Graph. 33, 4, Article 113 (July 2014). [ACM]
- A recent
review of fracture in graphics:
|
TuApr21
|
Controlling Smoke, Water, & Fire
|
Materials:
- Adrien Treuille, Antoine McNamara,
Zoran Popović, Jos Stam, Keyframe Control of Smoke
Simulations, ACM Transactions on Graphics,
22(3), July 2003,
pp. 716-723. [paper]
[project]
[video]
Graphbib
page
- Antoine McNamara, Adrien Treuille,
Zoran Popović, Jos Stam, Fluid control using
the adjoint method, ACM Transactions on Graphics,
23(3), August 2004,
pp. 449-456. [paper]
[project]
Graphbib
page
- Raanan Fattal, Dani Lischinski, Target-driven
smoke animation, ACM Transactions on Graphics,
23(3), August 2004,
pp. 441-448. [paper]
[project]
Graphbib
page
- N.
Rasmussen, D. Enright, D. Nguyen, S. Marino, N.
Sumner, W. Geiger, S. Hoon, and R. Fedkiw. 2004. Directable
photorealistic liquids. In Proceedings of
the 2004 ACM SIGGRAPH/Eurographics symposium on
Computer animation (SCA '04). Eurographics
Association, Aire-la-Ville, Switzerland, Switzerland,
193-202.
- Lin Shi and
Yizhou Yu. 2005. Taming
liquids for rapidly changing targets. In
Proceedings of the 2005 ACM SIGGRAPH/Eurographics
symposium on Computer animation (SCA '05). ACM, New
York, NY, USA, 229-236.
- N Thürey, R
Keiser, M Pauly, U Rüde, Detail-preserving
fluid control, Graphical Models, 2009. [Video]
- Christopher Horvath and Willi Geiger.
2009. Directable,
high-resolution simulation of fire on the GPU.
In ACM SIGGRAPH 2009 papers (SIGGRAPH '09), Hugues
Hoppe (Ed.). ACM, New York, NY, USA, , Article 41 ,
8 pages.
|
| ThApr23 |
Noise & Turbulence Modeling
|
Materials:
- Ken Perlin
and Eric Hoffert, Hypertexture,
1989 Computer Graphics (proceedings of ACM SIGGRAPH
Conference), Vol. 22, No. 3. (Ken's
write-up)
- Jos Stam and
Eugene Fiume. 1993. Turbulent
wind fields for gaseous phenomena. In
Proceedings of the 20th annual conference on Computer
graphics and interactive techniques (SIGGRAPH '93).
ACM, New York, NY, USA, 369-376.
- Ronald
Fedkiw, Jos Stam, Henrik Wann Jensen, Visual Simulation of
Smoke, Proceedings of ACM SIGGRAPH
2001, Computer Graphics Proceedings, Annual Conference
Series, August 2001, pp. 15-22. (introduces vorticity confinement
forces)
- Jerry
Tessendorf, Simulating
Ocean Water, SIGGRAPH course notes, 2002.
[Slides
2004]
- Frequency-domain
methods commonly used for water wave simulation,
e.g., NVIDIA
WaveWorks.
- F. Neyret, Advected
textures, In Proc. ACM
SIGGRAPH/Eurographics Symp. Comp. Anim. (2003), pp.
147–153.
- Andrew
Selle, Nick Rasmussen, Ronald Fedkiw, A
vortex particle method for smoke, water and
explosions, ACM SIGGRAPH 2005 Papers, July
31-August 04, 2005.
- Robert L.
Cook and Tony DeRose. 2005. Wavelet
noise. ACM Trans. Graph. 24, 3 (July
2005), 803-811. [ACM]
- Alexander
Goldberg, Matthias Zwicker, Frédo Durand, Anisotropic
noise, ACM Transactions on Graphics (TOG),
v.27 n.3, August 2008.
- Robert
Bridson, Jim Houriham, Marcus Nordenstam, Curl-noise
for procedural fluid flow, ACM
Transactions on Graphics (TOG), v.26 n.3, July 2007. (movie
and public domain example
code available.)
- Theodore
Kim, Nils Thürey, Doug James, Markus Gross, Wavelet
turbulence for fluid simulation, ACM
Transactions on Graphics (TOG), v.27 n.3, August 2008.
[ACM]
(code
available)
- H.
Schechter, R. Bridson, Evolving
sub-grid turbulence for smoke animation,
Proceedings of the 2008 ACM SIGGRAPH/Eurographics
Symposium on Computer Animation, July 07-09, 2008,
Dublin, Ireland. [Movie]
- Rahul
Narain, Jason Sewall, Mark Carlson, Ming C. Lin, Fast
animation of turbulence using energy transport and
procedural synthesis, ACM Transactions on
Graphics (TOG), v.27 n.5, December 2008.
- Tobias
Pfaff, Nils Thürey, Andrew Selle, and Markus Gross, Synthetic
Turbulence using Artificial Boundary Layers,
ACM SIGGRAPH Asia 2009 Papers, ACM Press, 2009.
|
| TuApr28 |
Animation Sound
|
Material:
- K. van den
Doel and D. K. Pai, The
Sounds of Physical Shapes, Presence:
Teleoperators and Virtual Environments, 7:4, The MIT
Press, 1998. pp. 382--395.
- Kees van den
Doel, Paul G. Kry, Dinesh K. Pai, FoleyAutomatic:
Physically-Based Sound Effects for Interactive
Simulation and Animation, Proceedings of ACM
SIGGRAPH 2001, Computer Graphics Proceedings, Annual
Conference Series, August 2001, pp. 537-544. [Video]
- Dinesh K.
Pai, Kees van den Doel, Doug L. James, Jochen Lang,
John E. Lloyd, Joshua L. Richmond, Som H. Yau, Scanning
Physical Interaction Behavior of 3D Objects,
Proceedings of ACM SIGGRAPH 2001, Computer Graphics
Proceedings, Annual Conference Series, August 2001,
pp. 87-96. [Video]
- James F.
O'Brien, Perry R. Cook, Georg Essl, Synthesizing
Sounds From Physically Based Motion, Proceedings
of ACM SIGGRAPH 2001, Computer Graphics Proceedings,
Annual Conference Series, August 2001, pp. 529-536.
- Perry R.
Cook, Sound
Production and Modeling, IEEE Computer Graphics
& Applications, 22(4), July-August 2002, pp.
23-27.
- James F.
O'Brien, Chen Shen, and Christine M. Gatchalian. Synthesizing
sounds from rigid-body simulations. In The ACM
SIGGRAPH 2002 Symposium on Computer Animation, pages
175–181. ACM Press, July 2002.
- Yoshinori
Dobashi, Tsuyoshi Yamamoto, Tomoyuki Nishita, Real-Time
Rendering of Aerodynamic Sound Using Sound Textures
Based on Computational Fluid Dynamics, ACM
Transactions on Graphics, 22(3), July 2003, pp.
732-740. [project
page]
- Doug L.
James, Jernej Barbić and Dinesh K. Pai, Precomputed
Acoustic Transfer: Output-sensitive, accurate sound
generation for geometrically complex vibration
sources, ACM Transactions on Graphics, 25(3),
pp. 987-995, July 2006, pp. 987-995.
- Changxi
Zheng and Doug L. James, Harmonic
Fluids, ACM Transaction on Graphics (SIGGRAPH
2009), 28(3), August 2009, pp. 37:1-37:12.
- Jeffrey
Chadwick, Steven An, and Doug L. James, Harmonic
Shells: A Practical Nonlinear Sound Model for
Near-Rigid Thin Shells, ACM Transactions on
Graphics (SIGGRAPH ASIA Conference Proceedings),
28(5), December 2009, pp. 119:1-119:10.
- Changxi
Zheng and Doug L. James, Rigid-Body
Fracture Sound with Precomputed Soundbanks, ACM
Transactions on Graphics (SIGGRAPH 2010), 29(3), July
2010, pp. 69:1-69:13.
- Jeffrey
Chadwick and Doug
L. James, Animating
Fire with Sound, ACM Transactions on Graphics, 30(4), August 2011.
- Jeffrey
N. Chadwick, Changxi
Zheng and Doug
L. James, Precomputed
Acceleration Noise for Improved Rigid-Body Sound, ACM Transactions on Graphics, August 2012.
- Steven
S. An , Doug
L. James, and Steve
Marschner, Motion-driven
Concatenative Synthesis of Cloth Sounds, ACM Transactions on Graphics, August 2012.
- Timothy
R. Langlois and Doug L. James, Inverse-Foley
Animation: Synchronizing rigid-body motions to
sound, ACM Transactions on Graphics (SIGGRAPH
2014), 33(4), August 2014.
|
ThApr30
TuMay05 |
Project Presentations
|
Two-day extended in-class slide
presentation period.
- Give
overview of animation problem
- Demo
preliminary results
- Final
project submitted on CMS by May 18
Presentation
schedule (5 minute talks, randomized order):
Thursday,
April 30 Speakers:
- Benton,
Brandon
- Wu,
Rundong
- Zhang,
Zechen
- Rogers,
Machenzie
- Jiang,
Mingde
- Zhao,
Zeqiang
- Wang,
Ning
- Gross,
Joel & Cytryn, Jeremy
- Hakobyan,
Gagik
- Wu,
Scott
- Westura,
Travis
Tuesday,
May 5 Speakers:
- Bern,
Noah
- Wang,
Jui-hsien
- Veizaga,
Einar & Henderson, Kylar
- Adegunloye,
Olufemi
- Peele,
Bryan
- Qian,
Yuhao Collin
- Evans,
Bryce & Paris, Youenn
- Sperling,
Daniel
- Duffany,
Brandon
- Dupre,
Guillaume
|