Relations

(4 scanned slides from CS280 Fall 1999)

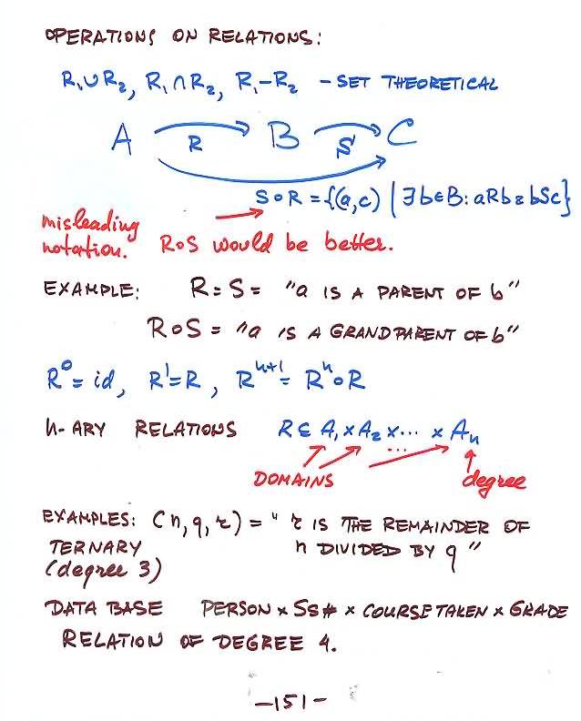
Slide 1      (.jpg)
Slide 2      (.jpg)
Slide 3      (.jpg)
Slide 4      (.jpg)
 
 ->  all 4 slides at once     (typically at least 243925 bytes of image data to download)

Trying to print? These ~400k PDFs are probably the safest bet:    1-up [4 pages]    4-up [1 page]

"4-up" format is also available in HTML.


index of all thirty-seven lectures