|
Assigned: Wednesday, September 4th |
Synopsis
Description
Downloads
Skeleton Code
To Do
Handing In
Bells and Whistles
In this project, you will create a tool that allows a user to cut an object out of one image and paste it into another. The tool helps the user trace the object by providing a "live wire" that automatically snaps to and wraps around the object of interest. You will then use your tool to create a composite image and the class will vote on the best composites.

Forrest Gump shaking hands with J.F.K.
You will be given a working skeleton program, which provides the user interface elements and data structures that you'll need for this program. This skeleton is described below. We have provided a sample solution executable and test images. Try this out to see how your program should run. Note: this only has been tested on Windows systems running Visual Studio 2010 (though a Makefile for Linux is also available in the src/ directory. If you have any problem running the solution executable, please use Piazza (recommended) or email a TA.
This program is based on the paper Intelligent Scissors for Image Composition, by Eric Mortensen and William Barrett, published in the proceedings of SIGGRAPH 1995. The way it works is that the user first clicks on a "seed point" which can be any pixel in the image. The program then computes a path from the seed point to the mouse cursor that hugs the contours of the image as closely as possible. This path, called the "live wire", is computed by converting the image into a graph where the pixels correspond to nodes. Each node is connected by links to its 8 immediate neighbors. Note that we use the term "link" instead of "edge" of a graph to avoid confusion with edges in the image. Each link has a cost relating to the derivative of the image across that link. The path is computed by finding the minimum cost path in the graph, from the seed point to the mouse position. The path will tend to follow edges in the image instead of crossing them, since the latter is more expensive. The path is represented as a sequence of links in the graph.
Next, we describe the details of the cost function and the algorithm for computing the minimum cost path. The cost function we'll use is a bit different than what's described in the paper, but closely matches what was discussed in lecture.
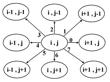
As described in the lecture notes, the image is represented as a graph. Each pixel (i,j) is represented as a node in the graph, and is connected to its 8 neighbors in the image by graph links (labeled from 0 to 7), as shown in the following figure.

To simplify the explanation, let's first assume that the image is grayscale instead of color (each pixel has only a scalar intensity, instead of a RGB triple). The same approach is easily generalized to color images.
Among the 8 links, two are horizontal (links 0 and 4), two are vertical (links 2 and 6), and the rest are diagonal. The magnitude of the intensity derivative across the diagonal links, e.g. link1, is approximated as:
D(link1)=|img(i+1,j)-img(i,j-1)|/sqrt(2)
The magnitude of the intensity derivative across the horizontal links, e.g.
link 0, is approximated as:
D(link 0)=|(img(i,j-1) +
img(i+1,j-1))/2 - (img(i,j+1) + img(i+1,j+1))/2|/2
Similarly, the magnitude of the intensity derivative across the vertical links,
e.g. link 2, is approximated as:
D(link2)=|(img(i-1,j)+img(i-1,j-1))/2-(img(i+1,j)+img(i+1,j-1))/2|/2.
We compute the cost for each link, cost(link), by the following equation:
cost(link)=(maxD-D(link))*length(link)
where maxD is the maximum magnitude of derivatives across links in the image,
e.g., maxD = max{D(link) | forall link in the image}, length(link) is the
length of the link. For example, length(link 0) = 1, length(link 1) = sqrt(2)
and length(link 2) = 1.
If a link lies along an edge in an image, we expect that the intensity
derivative across that link is large and accordingly, the cost of link is
small.
As in the grayscale case, each pixel has eight links. We first compute the magnitude of the intensity derivative across a link, in each color channel independently, denoted as
( DR(link),DG(link),DB(link) ).
Then the magnitude of the color derivative across link is defined as
D(link) = sqrt( (DR(link)*DR(link)+DG(link)*DG(link)+DB(link)*DB(link))/3 ).
Then we compute the cost for link in the same way as we do for a gray scale image:
cost(link)=(maxD-D(link))*length(link).
Notice that cost(link 0) for pixel (i,j) is the same as cost(link 4) for pixel (i+1,j). Similar symmetry property also applies to vertical and diagonal links.
For debugging purposes, you may want to scale down each link cost by a factor of 1.5 or 2 so that they can be converted to byte format without clamping to[0,255]
You are required to implement the D(link) formulas above using 3x3 cross correlation. Each of the eight link directions will require using a different cross correlation kernel. You will need to figure out for yourself what the proper entries in each of the eight kernels will be. However, this does not mean that you have to entirely compute D(link) using only cross correlation since this is not possible. But you should be able to compute the intensity derivative (not the magnitude) for each of the three channels using only cross correlation.
The pseudo code for the shortest path algorithm in the paper
is a variant of Dijkstra's shortest path algorithm, which is described in any
of the classic algorithm books (including text books used in data structures
courses such as 3110). You could also refer to any of the classic algorithm
text books (e.g.,
Introduction to Algorithms by Thomas H. Cormen, Charles E. Leiserson, Ronald L.
Rivest, and Cliff Stein, published by MIT Press). Here is some pseudo
code which is equivalent to the algorithm in the SIGGRAPH paper, but we feel is
easier to understand.
procedure LiveWireDP
input: seed, graph
output: a minimum path tree in the input graph with each node
pointing to its predecessor along the minimum cost path to that node from the seed.
Each node will also be assigned a total cost, corresponding to the cost of the
the minimum cost path from that node to the seed.
comment: each node will experience three states: INITIAL, ACTIVE,
EXPANDED sequentially. the algorithm terminates when all
nodes are EXPANDED. All nodes in graph are initialized as INITIAL. When the
algorithm runs, all ACTIVE nodes are kept in a priority queue, pq,
ordered by the current total cost from the node to the seed.
Begin:
initialize the priority queue pq to be empty;
initialize each node to the INITIAL state;
set the total cost of seed to be zero;
insert seed into pq;
while pq is not empty
extract the node q with the minimum total cost in pq;
mark q as EXPANDED;
for each neighbor node r of q
if r has not been EXPANDED
if r is still INITIAL
insert r in pq with the sum of the total cost of q and link cost from q to r as its total cost;
mark r as ACTIVE;
else if r is ACTIVE, e.g., in already in the pq
if the sum of the total cost of q and link cost between q and r is less than the total cost of r
update the total cost of r in pq;
End
A priority queue is a data structure for maintaining a set of elements, each with an associated key. Here is a short introduction to priority queues.
For those that are already using git to work in groups, you can still share code with your partner by having multiple masters to your local repository (one being this original repository and the other some remote service like github where you host the code you are working on); here's a reference with more information.
This project uses FLTK (the Fast Light Toolkit) as a UI framework; for Windows users, the necessary FLTK libraries are included (for other OSes, you will need to install these yourself, e.g. using apt-get under Ubuntu). All the source files (.h/.cpp) are in the subdirectory src. There are 28 files total, but many are just user interface files that are automatically generated by fluid, the FLTK user interface building tool. Here is a description of what's in there:
ImgView contains most of the data structures and handles interface messages. You will work with iScissor.cpp most often.
The main data structure that you will use in Project 1 is the Pixel Node.
Pixel Node
Use the following Node structure when computing the minimum path tree.
struct Node{
double linkCost[8];
int state;
double totalCost;
Node *prevNode;
int column, row;
//other unrelated fields;}
For visualization purposes, we provide code to convert a pixel node array into an image that displays the computed cost values in the user interface. This image buffer, called Cost Graph, has the structure shown below. Cost Graph has 3W columns and 3H rows and is obtained by expanding the original image by a factor of 3 in both the horizontal and vertical directions. For each 3 by 3 unit, the RGB(i,j) color is saved at the center and the eight link costs, as described in the Cost Function section, are saved in the 8 corresponding neighbor pixels. The link costs shown are the average of the costs over the RGB channels, as described above (NOT the per-channel costs). The Cost Graph may be viewed as an RGB image in the interface, (dark = low cost, light = high cost).
|
|
|
|||||||||||||||||||||||||||
|
|
|
|||||||||||||||||||||||||||
|
|
|
|||||||||||||||||||||||||||
|
Pixel layout in Cost Graph (3W*3H) |
|||||||||||||||||||||||||||||
All the required work can be done in iScissor.cpp, iScissor.h, correlation.cpp, and ImgView.cpp.
implement InitNodeBuf, which takes as input an image of size W by H and an allocated node buffer of the same dimensions, and initializes the column, row, and linkCost fields of each node in the buffer. InitNodeBuf MUST make use of the cross-correlation code that you'll be implementing next. You will also need to modify the eight cross correlation kernels defined in iScissor.h.
implement pixel_filter, which takes as input an image of size W by H, a filter kernel, and a pixel position at which to compute the cross correlation.
implement image_filter, which applies a filter to an entire image. You may do this by making calls to pixel_filter if you wish.
implement LiveWireDP, which takes a node buffer and a seed position as input and computes the minimum path tree from the seed node. Be sure to take into account the parameter numExpanded that specifies how many levels of the minimum path tree should be expanded (which can be controlled in debug mode).
implement MinimumPath, which takes as input a node buffer and a node position and returns a list of nodes along the minimum cost path from the input node to the seed node in the buffer (the seed has a NULL predecessor).
.zip archives (one for the code and another one
for the report) and a .jpg image. The image will be the artifact you produce
with your code (more instructions below). The class will vote on the best composites through a webpage.
The first .zip will contain your code, the other one will have another copy of the artifact, and
a report in the form of a webpage. We provide webpage and code .zip
archives with a basic file structure. In order to have your project graded you should
not modify the organization of the boilerplate file structure. Here are the components of
the report archive:
html/html/index.htmlhtml/artifact.jpgREADME.txtsrc/
Here is a list of suggestions for extending the program for extra credit. You are encouraged to come up with your own extensions. We're always interested in seeing new, unanticipated ways to use this program!
Implement handle in ImgView.cpp
so that it applies the brush filter when ctrl is held and the left mouse button is pressed and moved. Additionally, one problem with the live wire is that it prefers shorter paths
so will tend to cut through large object rather than wrap around them.
One way to fix this is specify a specific region in which the path must
stay. As long as this region contains the object boundary but excludes
most of the interior, the path will be forced to follow the boundary. One
way of specifying such a region is to use the thick paint
brush that you will implement in handle. The next step is to modify LiveWireDP (if you haven't already) to take into account the brush region if "Brush Selection" is selected under "Scissors Range" in the "Scissors" menu.
If this is done correctly, the live wire path will only appear within the brush selection. Also, modify the filter functionality so that it will only apply to a brushed region if "Brush Selection" is selected under "Filter Range" from the "Filter" menu.
Modify the link costs to have the effect of blurring the image
before calculating the derivatives. Note that this blurring should be applied
only for the purpose of the derivative calculation and the original image
itself should not be changed. Try different amount of blurring and describe
your observations on how this changes the results.
Try different costs functions, for example the method described
in Intelligent
Scissors for Image Composition, and modify the user interface to allow
the user to select different functions. Describe your observations
on how this changes the results.
The only point that doesn't snap to edges is the seed.
Implement a seed snapping feature, where the seed is automatically moved to the
closest edge.
Implement path cooling, as described
in Intelligent
Scissors for Image Composition.
Current code does not take into account the length of the path
(i.e., the number of nodes in the path) when computing the minimum path. At
times it can return a much longer path even if a shorter path of the same cost
exists (try the checkerboard example). Correct this.
![]()
Implement
dynamic training, as described in Intelligent
Scissors for Image Composition.
Implement
a live wire with sub-pixel precision. You can find the position of
an edge to sub-pixel precision
by
fitting a
curve (see Section 5.1.4) (e.g., a parabola) to the gradient magnitude values across an edge, and
finding the maximum. Another way (more complex but potentially better) of
doing this is given in a follow
on to Mortensen's scissoring paper. It is probably easiest to first
compute the standard (pixel-precision) live wire and then use one of these
curve fitting techniques to refine it.
![]()
![]()
Implement
Digital
Matting.
![]()
![]()
Implement
Colorization.
![]()
![]()
![]()
Implement
GrabCut.