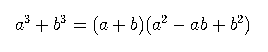
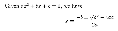
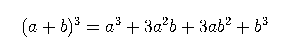
Simple School algebra.

Math Audio LaTeX Postscript

Math Audio LaTeX Postscript

Math Audio LaTeX Postscript


Back to top-level
raman@crl.dec.com
Last modified: Wed Aug 10 19:14:29 1994