CS 6670 Project 1
Akram Helou
I have experimented with two approaches for my feature descriptor. The
approach which the results are drawn from involves a couple
modifications of the simple MOPS descriptors. The first modification is
changing the final windows size from 8*8 to 9*9. My simple MOPS
implementation indicates that a 9*9 window is more effective than a 8*8
window based on marginal improvements in average error and average AUC
on the benchmark datasets. This modification was done to increase the
specificty of the descriptor vector.
The second modification is normalizing the final descriptor vector by
subtracting the mean and dividing my the standard deviation. Again,
this resulted in marginal improvements in average error and average AUC
on the benchmark datasets. This modification was done to make the
descriptor invariant to lighting conditions.
Therefore, the strengths of this mofication is the increase in
descriptor specifity and invariance to lighting. The weaknesses are
that is not invariant to scale.
In the second approach (implemented in features_debug.cpp) I attempted
to combine ideas from the SIFT feature descriptor with a simple MOPS
feature descriptor. This was done by appending to the original MOPS
descriptor vector the orientations of the largest gradient values
around the location of the feature pixel. I took the top N (for various
values ranging from 10 to 1000) gradient orientations and subtracted
the gradient orientation of the feature location. I then averaged every
M (for values ranging from 10 to 15) normalized gradient orientations
to get my final additional descriptors.
While the average AUC was higher than the first approach on the
benchmark dataset, the average pixel error was significantly larger.
This indicates that adding these orientations descriptors made every
feature too unique to be matched to a similar feature in a different
image. Therefore, the weakness of this approach is that I lost the
orientation invariance and other invariance possessed by the simple
MOPS descriptor. This approach was motivated by the hope of combining
the strengths of MOPS (simplicity) and SIFT (performance).
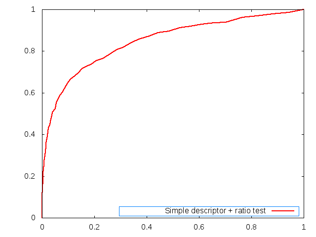
Yosemite ROC data set:








This is the harris.tga image for img1 in teh ROC yosemite dataset
yosemite_harris.jpg
Graf ROC dataset:








This is the harris.tga image for img1 in teh ROC graf dataset

Benchmark dataset results:
Graf:
average error: 248.843472 pixels
average AUC: 0.605402
Leuven:
average error: 307.990606 pixels
average AUC: 0.616173
Bikes:
average error: 286.186716 pixels
average AUC: 0.639851
Wall:
average error: 262.414206 pixels
average AUC: 0.621211
Results for images I took:
Image 1. These are the Harris corner features with my custom descriptor used.

Image 2. These are the Harris corner features with my custom descriptor used.

Matches for some features are shown in green. The ratio SSD measure is used for matching.
