CS486 Problem Set 9 DUE: 4/17/03
1.
a)
We give a finite model of a semigroup that is not commutative.

\begin{displaymath}D = \{ \mathsf{a}, \mathsf{b} \} \end{displaymath}


\begin{displaymath}
\boldsymbol{=} = \{ (\mathsf{a},\mathsf{a}),
(\mathsf{b},\mathsf{b})
\}
\end{displaymath}


\begin{displaymath}
\begin{array}[t]{\vert c\vert\vert c\vert c\vert}
\hline...
...thsf{b} & \mathsf{b} & \mathsf{b} \\
\hline
\end{array}
\end{displaymath}

Clearly, $\boldsymbol{=}$ satisfies ref, sym, and trans. Likewise, $\boldsymbol{\circ}$ satisifies subst, functionality, and assoc. Hence, $\langle D, \boldsymbol{=}, \boldsymbol{\circ} \rangle$ is a semigroup. Furthermore, $\mathsf{a} \boldsymbol{\circ} \mathsf{b} =
\mathsf{a} \neq \mathsf{b} = \mathsf{b} \circ \mathsf{a}$; hence $\langle D, \boldsymbol{=}, \boldsymbol{\circ} \rangle$ is not a commutative semigroup.
b)
We give a finite model of a commutative semigroup that is not a monoid.

\begin{displaymath}D = \{ \mathsf{a}, \mathsf{b} \} \end{displaymath}


\begin{displaymath}
\boldsymbol{=} = \{ (\mathsf{a},\mathsf{a}),
(\mathsf{b},\mathsf{b})
\}
\end{displaymath}


\begin{displaymath}
\begin{array}[t]{\vert c\vert\vert c\vert c\vert}
\hline...
...thsf{b} & \mathsf{a} & \mathsf{a} \\
\hline
\end{array}
\end{displaymath}

Clearly, $\boldsymbol{=}$ satisfies ref, sym, and trans. Likewise, $\boldsymbol{\circ}$ satisifies subst, functionality, assoc, and comm. Hence, $\langle D, \boldsymbol{=}, \boldsymbol{\circ} \rangle$ is a commutative semigroup. Furthermore, $\boldsymbol{\circ}$ does not satisfy ident; hence $\langle D, \boldsymbol{=}, \boldsymbol{\circ} \rangle$ is not a monoid.
2.
Consider the Boolean ring $\langle \mathbb{B}, \boldsymbol{=}, \boldsymbol{\Leftrightarrow},
\boldsymbol{\lor}, \mathbf{T}, \mathbf{F}\rangle$; that is, in addition to the ring axioms, we assume the following axiom:

\begin{displaymath}
\begin{array}{ll}
\mbox{\texttt{idemp$_{\boldsymbol{\lor...
...ll }{x}){(x\boldsymbol{\lor}x\boldsymbol{=}x)}
\end{array}
\end{displaymath}

We also assume the following axiom (although it may be provable from the previous axioms):

\begin{displaymath}
\begin{array}{ll}
\mbox{\texttt{const$_{\boldsymbol{\Le...
...ol{\Leftrightarrow}x\boldsymbol{=}\mathbf{T})}
\end{array}
\end{displaymath}

We first prove two useful derived theorems:
ident $_{\boldsymbol{\Leftrightarrow}}$-with $_{\boldsymbol{\lor}}$: $({\forall }{x}){({(x\boldsymbol{\lor}\mathbf{T}\boldsymbol{=}\mathbf{T})}{\land }{(\mathbf{T}\boldsymbol{\lor}x\boldsymbol{=}\mathbf{T})})}$

\begin{displaymath}
\begin{array}{rcl}
(1) & \mathbf{T}\boldsymbol{=}(\mathb...
...thbf{T} &
\mbox{\texttt{subst}\{11,10\}} \\
\end{array}
\end{displaymath}


\begin{displaymath}
\begin{array}{rcl}
(1) & \mathbf{T}\boldsymbol{=}(\mathb...
...thbf{T} &
\mbox{\texttt{subst}\{11,10\}} \\
\end{array}
\end{displaymath}

comm $_{\boldsymbol{\lor}}$: $({\forall }{x,y}){(x\boldsymbol{\lor}y\boldsymbol{=}y\boldsymbol{\lor}x)}$

\begin{displaymath}
\begin{array}{rcl}
(1) & (x\boldsymbol{\lor}x)\boldsymbo...
...\lor}x) &
\mbox{\texttt{subst}\{29,30\}} \\
\end{array}
\end{displaymath}

Define $\boldsymbol{\sim}$, $\boldsymbol{\land}$, and $\boldsymbol{\supset}$ as follows:

\begin{displaymath}
\begin{array}{rcl}
\boldsymbol{\sim}x & \equiv & x\bolds...
...{\Leftrightarrow}\mathbf{F})\boldsymbol{\lor}y
\end{array}
\end{displaymath}

We prove the following laws using the Boolean ring axioms:
(1)
$p\boldsymbol{\supset}(p\boldsymbol{\lor}q)$

\begin{displaymath}
\begin{array}{rcll}
p\boldsymbol{\supset}(p\boldsymbol{\...
...t{const$_{\boldsymbol{\Leftrightarrow}}$}} \\
\end{array}
\end{displaymath}

(2)
$(p\boldsymbol{\land}q)\boldsymbol{\supset}p$

\begin{displaymath}
\begin{array}{rcll}
(p\boldsymbol{\land}q)\boldsymbol{\s...
...t{const$_{\boldsymbol{\Leftrightarrow}}$}} \\
\end{array}
\end{displaymath}

(3)
$(p\boldsymbol{\land}q)\boldsymbol{\supset}q$

\begin{displaymath}
\begin{array}{rcll}
(p\boldsymbol{\land}q)\boldsymbol{\s...
...t{const$_{\boldsymbol{\Leftrightarrow}}$}} \\
\end{array}
\end{displaymath}

(4)
$p\boldsymbol{\supset}(q\boldsymbol{\supset}p)$

\begin{displaymath}
\begin{array}{rcll}
p\boldsymbol{\supset}(q\boldsymbol{\...
...t{const$_{\boldsymbol{\Leftrightarrow}}$}} \\
\end{array}
\end{displaymath}

(5)
$\boldsymbol{\sim}q\boldsymbol{\supset}(q\boldsymbol{\supset}p)$

\begin{displaymath}
\begin{array}{rcll}
\boldsymbol{\sim}q\boldsymbol{\supse...
...rightarrow}}$-with$_{\boldsymbol{\lor}}$}} \\
\end{array}
\end{displaymath}

(6)
$p\boldsymbol{\supset}q\boldsymbol{\supset}(\boldsymbol{\sim}q\boldsymbol{\supset}\boldsymbol{\sim}p)$

\begin{displaymath}
\begin{array}{rcll}
p\boldsymbol{\supset}(q\boldsymbol{\...
...exttt{const$_{\boldsymbol{\Leftrightarrow}}$}}
\end{array}
\end{displaymath}

(7)
$(p\boldsymbol{\lor}p)\boldsymbol{\Leftrightarrow}p$

\begin{displaymath}
\begin{array}{rcll}
(p\boldsymbol{\lor}p)\boldsymbol{\Le...
...t{const$_{\boldsymbol{\Leftrightarrow}}$}} \\
\end{array}
\end{displaymath}

3.
$\langle \mathbb{Z}, \boldsymbol{=}_5, \boldsymbol{+}, \boldsymbol{*} \rangle$ is a field.

\begin{displaymath}
\begin{array}{\vert c\vert\vert c\vert c\vert c\vert c\ver...
... 2 \\ \hline
4 & 4 & 0 & 1 & 2 & 3 \\ \hline
\end{array}
\end{displaymath}


\begin{displaymath}
\begin{array}{\vert c\vert\vert c\vert c\vert c\vert c\ver...
... 2 \\ \hline
4 & 0 & 4 & 3 & 2 & 1 \\ \hline
\end{array}
\end{displaymath}

Clearly, $\boldsymbol{=}_5$ satisfies ref, sym, and trans, $\boldsymbol{+}$ satisfies subst and functionality, and $\boldsymbol{*}$ satisifes subst and functionality. By inspection, we see that $\boldsymbol{+}$ satisfies assoc and comm, $0$ is the identity element for $\boldsymbol{+}$, and $\boldsymbol{+}$ satisfies inv. By inspection, we see that $\boldsymbol{*}$ satisfies assoc and comm, $1$ is the identity element for $\boldsymbol{*}$, and $\boldsymbol{*}$ satisfies inv'. Furthermore, we see that $\boldsymbol{*}$ satisfies Z. Finally, we see that $\boldsymbol{+}$ and $\boldsymbol{*}$ satisfy distrib.
4.
Define $x\boldsymbol{<}y \equiv ({\exists }{z}){(x\boldsymbol{+}(z\boldsymbol{+}\mathbf{1})\boldsymbol{=}y)}$. We prove the seven axioms of discrete linear orders for $\boldsymbol{<}$ from the Peano axioms. We assume that all of the axioms of integral domains have been proven from the Peano axioms. We first prove some useful lemmas:
lemma1: $({\forall }{x,z}){({(x\boldsymbol{+}z\boldsymbol{=}x)}{\supset }{(z\boldsymbol{=}\mathbf{0})})}$

\begin{displaymath}
\begin{array}{cll}
&
\mathbf{0}\boldsymbol{+}z\boldsym...
...ldsymbol{=}\mathbf{0} &
\mbox{\texttt{ihyp}}
\end{array}
\end{displaymath}

lemma2: $({\forall }{x,a,y}){({(x\boldsymbol{+}a\boldsymbol{=}y)}{\supset }{({(x\boldsymbol{=}y)}{\lor }{(x\boldsymbol{<}y)})})}$

\begin{displaymath}
\begin{array}{cll}
&
x\boldsymbol{+}\mathbf{0}\boldsym...
...x\boldsymbol{=}y)}{\lor }{(x\boldsymbol{<}y)}
\end{array}
\end{displaymath}

lemma3: $({\forall }{x,y}){({(x\boldsymbol{=}y)}{\supset }{(x\boldsymbol{+}\mathbf{1}\boldsymbol{=}y\boldsymbol{+}\mathbf{1})})}$

\begin{displaymath}
\begin{array}{cll}
&
x\boldsymbol{=}y \\
\land &
...
...
\mbox{\texttt{add-base}[$y$],\texttt{subst}}
\end{array}
\end{displaymath}

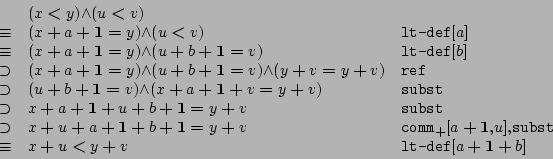
lemma4: $({\forall }{x,y,u,v}){({({(x\boldsymbol{<}y)}{\land }{(u\boldsymbol{<}v)})}{\supset }{(x\boldsymbol{+}u\boldsymbol{<}y\boldsymbol{+}v)})}$

\begin{displaymath}
\begin{array}{cll}
&
{(x\boldsymbol{<}y)}{\land }{(u\b...
...}[$a\boldsymbol{+}\mathbf{1}\boldsymbol{+}b$]}
\end{array}
\end{displaymath}

lt-asym: $({\forall }{x,y}){({x\boldsymbol{<}y}{\supset }{{\sim }{(y\boldsymbol{<}x)}})}$

\begin{displaymath}
\begin{array}{cll}
&
{\sim }{({x\boldsymbol{<}y}{\sups...
...ol{<}y}{\supset }{{\sim }{(y\boldsymbol{<}x)}}
\end{array}
\end{displaymath}

lt-trans: $({\forall }{x,y,z}){({({x\boldsymbol{<}y}{\land }{y\boldsymbol{<}z})}{\supset }{(x\boldsymbol{<}z)})}$

\begin{displaymath}
\begin{array}{cll}
&
{(x\boldsymbol{<}\mathbf{0})}{\l...
...ihyp}[$z$]} \\
\supset &
x\boldsymbol{<}z
\end{array}
\end{displaymath}

lt-linear: $({\forall }{x,y}){({{(x\boldsymbol{<}y)}{\lor }{(y\boldsymbol{<}x)}}{\lor }{(x\boldsymbol{=}y)})}$

\begin{displaymath}
\begin{array}{cll}
& &
\mbox{\texttt{base}[$x$]} \\
...
...athbf{1})} &
\mbox{\texttt{lemma3}[$x$,$y$]}
\end{array}
\end{displaymath}

lt-discrete: $({\forall }{x,y}){{\sim }{({(x\boldsymbol{<}y)}{\land }{(y\boldsymbol{<}x\boldsymbol{+}\mathbf{1})})}}$

\begin{displaymath}
\begin{array}{cll}
&
{\sim }{{\sim }{({(x\boldsymbol{<...
...{(y\boldsymbol{<}x\boldsymbol{+}\mathbf{1})})}
\end{array}
\end{displaymath}

lt-0-1: $\mathbf{0}\boldsymbol{<}\mathbf{1}$

\begin{displaymath}
\begin{array}{cll}
&
(\mathbf{0}\boldsymbol{+}\mathbf...
...bf{1} &
\mbox{\texttt{lt-def}[$\mathbf{0}$]}
\end{array}
\end{displaymath}

lt-mono-+: $({\forall }{x,y,z}){({(x\boldsymbol{<}y)}{\supset }{(x\boldsymbol{+}z\boldsymbol{<}y\boldsymbol{+}z)})}$

\begin{displaymath}
\begin{array}{cll}
&
x\boldsymbol{<}y &
\mbox{\text...
...l{+}\mathbf{1} &
\mbox{\texttt{lt-def}[$a$]}
\end{array}
\end{displaymath}

lt-mono-*: $({\forall }{x,y,z}){({({(\mathbf{0}\boldsymbol{<}z)}{\land }{(x\boldsymbol{<}y)})}{\supset }{(x\boldsymbol{*}z\boldsymbol{<}y\boldsymbol{*}z)})}$

\begin{displaymath}
\begin{array}{cll}
&
{(\mathbf{0}\boldsymbol{<}\mathbf...
...l{<}y\boldsymbol{*}(z\boldsymbol{+}\mathbf{1})
\end{array}
\end{displaymath}



Juanita Heyerman 2003-04-24