CS486 Problem Set 10 DUE: 4/24/03
1.
We show how to express the following functions as $\mu$-recursive functions.
(a)

\begin{displaymath}const_k(x) = k \quad\quad \mbox{for arbitrary $k \in \mathbb{N}$} \end{displaymath}

Define

\begin{displaymath}const_k \equiv \mathsf{pr}(c_k, \pi^2_2) \end{displaymath}

(b)

\begin{displaymath}exp(x,y) = x^y \end{displaymath}

Define

\begin{displaymath}add \equiv \mathsf{pr}(\pi^1_1, s \circ \pi^3_3) \end{displaymath}

Define

\begin{displaymath}mul \equiv \mathsf{pr}(const_0, add \circ \pi^3_1,\pi^3_3) \end{displaymath}

Define

\begin{displaymath}exp \equiv \mathsf{pr}(const_1, mul \circ \pi^3_1,\pi^3_3) \end{displaymath}

(c)

\begin{displaymath}Sum_f(y) = \sum_{i=0}^y f(i) \end{displaymath}

Define

\begin{displaymath}Sum_f \equiv \mathsf{pr}(f \circ c_o, add \circ (f \circ s \circ \pi^2_1),\pi^2_2) \end{displaymath}

2.
We show how to express the following functions in Peano arithmetic. First, define

\begin{displaymath}x\boldsymbol{<}y \equiv ({\exists }{z}){(x\boldsymbol{+}(z\boldsymbol{+}\mathbf{1})\boldsymbol{=}y)} \end{displaymath}


\begin{displaymath}x\boldsymbol{\leq}y \equiv {(x\boldsymbol{<}y)}{\lor }{(x\boldsymbol{=}y)} \end{displaymath}


\begin{displaymath}x\boldsymbol{\vert}y \equiv ({\exists }{z}){(x\boldsymbol{*}z\boldsymbol{=}y)} \end{displaymath}

(a)

\begin{displaymath}div(x,y) = x \div y \end{displaymath}

Define

\begin{displaymath}
R_{div}(x,y,z) \equiv
({\exists }{a}){({(a\boldsymbol{<...
...{\land }{(x\boldsymbol{=}z\boldsymbol{*}y\boldsymbol{+}a)})}
\end{displaymath}

(b)

\begin{displaymath}divides(x,y) = \left\{ \begin{array}{ll}
1 & \mbox{if $x$\ divides $y$} \\
0 & \mbox{otherwise}
\end{array}
\right. \end{displaymath}

Define

\begin{displaymath}
R_{divides}(x,y,z) \equiv
{({(x\boldsymbol{\vert}y)}{\su...
...ldsymbol{\vert}y)}}{\supset }{(z\boldsymbol{=}\mathbf{0})})}
\end{displaymath}

(c)

\begin{displaymath}prime(x) = \left\{ \begin{array}{ll}
1 & \mbox{if $x$\ is a prime number} \\
0 & \mbox{otherwise}
\end{array}
\right. \end{displaymath}

Define

\begin{displaymath}
R_{prime}(x,z) \equiv
\begin{array}[t]{c}
({(({\forall...
...}})})}{\supset }{(z\boldsymbol{=}\mathbf{0})})
\end{array}
\end{displaymath}

3.
We prove $({\forall }{x}){({\sim }{(x\boldsymbol{+}\mathbf{1}\boldsymbol{=}x)})}$ in Peano arithmetic. We first prove a useful lemma:
lemma1: $({\forall }{x,y}){({(x\boldsymbol{=}y)}{\supset }{(x\boldsymbol{+}\mathbf{1}\boldsymbol{=}y\boldsymbol{+}\mathbf{1})})}$

\begin{displaymath}
\begin{array}{cll}
&
x\boldsymbol{=}y \\
\land &
...
...
\mbox{\texttt{add-base}[$y$],\texttt{subst}}
\end{array}
\end{displaymath}

thm: $({\forall }{x}){({\sim }{(x\boldsymbol{+}\mathbf{1}\boldsymbol{=}x)})}$

\begin{displaymath}
\begin{array}{cll}
& &
\mbox{\texttt{base}[$x$]} \\
...
...\boldsymbol{+}\mathbf{1}$,$x$],\texttt{subst}}
\end{array}
\end{displaymath}

4.
We show that the following laws are not valid in $\mathcal{Q}$.
(a)
$({\forall }{x,y}){(x\boldsymbol{+}y\boldsymbol{=}y\boldsymbol{+}x)}$
(b)
$({\forall }{x,y,z}){(x\boldsymbol{+}(y\boldsymbol{+}z)\boldsymbol{=}(x\boldsymbol{+}y)\boldsymbol{+}z)}$
(c)
$({\forall }{x}){(\mathbf{0}\boldsymbol{+}x\boldsymbol{=}x)}$
(d)
$({\forall }{x,y}){(x\boldsymbol{*}y\boldsymbol{=}y\boldsymbol{*}x)}$
(e)
$({\forall }{x}){(\mathbf{0}\boldsymbol{*}x\boldsymbol{=}\mathbf{0})}$
Consider the following model of $\mathcal{Q}$:

\begin{displaymath}
\begin{array}{c}
U = \mathbb{N}\cup \{ \omega, \zeta \} ...
...mega & \omega & \omega \\ \hline
\end{array}
\end{array}
\end{displaymath}

We show that the following laws are not valid in this model:
(a)
$({\forall }{x,y}){(x\boldsymbol{+}y\boldsymbol{=}y\boldsymbol{+}x)}$

\begin{displaymath}
\omega\boldsymbol{+}\mathbf{0}
= \omega
\neq \zeta
= \mathbf{0}\boldsymbol{+}\omega
\end{displaymath}

(b)
$({\forall }{x,y,z}){(x\boldsymbol{+}(y\boldsymbol{+}z)\boldsymbol{=}(x\boldsymbol{+}y)\boldsymbol{+}z)}$

\begin{displaymath}
\omega\boldsymbol{+}(\mathbf{0}\boldsymbol{+}\omega )
=...
...a
= (\omega\boldsymbol{+}\mathbf{0})\boldsymbol{+}\omega
\end{displaymath}

(c)
$({\forall }{x}){(\mathbf{0}\boldsymbol{+}x\boldsymbol{=}x)}$

\begin{displaymath}
\mathbf{0}\boldsymbol{+}\omega
= \zeta
\neq \omega
\end{displaymath}

(d)
$({\forall }{x,y}){(x\boldsymbol{*}y\boldsymbol{=}y\boldsymbol{*}x)}$

\begin{displaymath}
\omega\boldsymbol{*}\mathbf{0}
= \mathbf{0}
\neq \omega
= \mathbf{0}\boldsymbol{*}\omega
\end{displaymath}

(e)
$({\forall }{x}){(\mathbf{0}\boldsymbol{*}x\boldsymbol{=}\mathbf{0})}$

\begin{displaymath}
\mathbf{0}\boldsymbol{*}\omega
= \omega
\neq \mathbf{0}
\end{displaymath}

We show that the axioms of $\mathcal{Q}$ are satisfied by this model:
non-surjective:

\begin{displaymath}\omega\boldsymbol{+}\mathbf{1} = \zeta \neq \mathbf{0}\quad\quad
\zeta\boldsymbol{+}\mathbf{1} = \omega \neq \mathbf{0}\end{displaymath}

injective:

\begin{displaymath}
\begin{array}[t]{cl}
&
\omega\boldsymbol{+}\mathbf{1}\...
...omega \\
\supset &
x\boldsymbol{=}\omega
\end{array}
\end{displaymath}


\begin{displaymath}
\begin{array}[t]{cl}
&
\zeta\boldsymbol{+}\mathbf{1}\b...
...}\zeta \\
\supset &
x\boldsymbol{=}\zeta
\end{array}
\end{displaymath}

nonzero:

\begin{displaymath}
\begin{array}[t]{cl}
&
\omega\boldsymbol{+}\mathbf{1} ...
...\boldsymbol{+}\mathbf{1}\boldsymbol{=}\zeta )}
\end{array}
\end{displaymath}

add-base:

\begin{displaymath}\omega\boldsymbol{+}\mathbf{0} = \omega \quad\quad \zeta\boldsymbol{+}\mathbf{0} = \zeta \end{displaymath}

add-step:

\begin{displaymath}
\begin{array}{c}
\omega\boldsymbol{+}(j\boldsymbol{+}\ma...
...ldsymbol{+}\zeta )\boldsymbol{+}\mathbf{1} \\
\end{array}
\end{displaymath}

mul-base:

\begin{displaymath}\omega\boldsymbol{*}\mathbf{0} = \mathbf{0}\quad\quad \zeta\boldsymbol{*}\mathbf{0} = \mathbf{0}\end{displaymath}

mul-step:

\begin{displaymath}
\begin{array}{c}
\omega\boldsymbol{*}(j\boldsymbol{+}\ma...
... \zeta\boldsymbol{*}\zeta \boldsymbol{+}\zeta
\end{array}
\end{displaymath}

5.
The function $A: \mathbb{N}^2 \to \mathbb{N}$ is defined recursively as follows:

\begin{displaymath}
\begin{array}{rcl}
A(0,0) & = & 1 \\
A(0,1) & = & 2 \...
...& = & 1 \\
A(n+1,y+1) & = & A(n, A(n+1, y))
\end{array}
\end{displaymath}

We show that $A$ is $\mu$-recursive. First, define the function $F: \mathbb{N}^3 \to \mathbb{N}$ recursively as follows:

\begin{displaymath}
\begin{array}{rcl}
F (n,0,x) & = & 0 \\
F (n,m,0) & =...
... (n,m,x+1) & = & A (n - x + 1, F(n, m, x) - 1)
\end{array}
\end{displaymath}

We note that the evaluation of $A(n,m)$ only requires the evaluation of $A(x,y)$ where $0 \leq x \leq n$ and $0 \leq y \leq F(n,m,x)$. Recall that $\langle\rangle: \mathbb{N}^2 \to \mathbb{N}$ is the bijective encoding of pairs of numbers, defined as $\langle i,j\rangle \equiv j +
(i+j)(i+j+1)/2$. Recall that $\star: \mathbb{N}^2 \to \mathbb{N}$ is the selection function, which yields $y_i$ for $\hat{y} \star i$. Define

\begin{displaymath}p \equiv \mathsf{pr}(c_0,\pi^2_1) \end{displaymath}


\begin{displaymath}sub \equiv \mathsf{pr}(\pi^1_1, p \circ \pi^2_2) \end{displaymath}


\begin{displaymath}
F \equiv
pr(const_0 \circ \pi^3_3, \\
\mathsf{pr}(\pi...
...4),\pi^5_2,\pi^5_3
) \circ \pi^4_1,\pi^4_3,\pi^4_4,\pi^4_2
\end{displaymath}


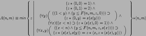
\begin{displaymath}
A(n,m) \equiv
\mathsf{min}
\left\{
z \left\vert
\...
...
\end{array}
\right.
\right\} \star \langle n,m\rangle
\end{displaymath}

We calculate $A(4,4)$. We first prove the following:

\begin{displaymath}A(0, 0) = 1 \quad A(0, 1) = 2 \quad A(0, y) = y + 2\end{displaymath}

Obvious from the definition of $A$.

\begin{displaymath}A(1, 0) = 1 \quad A(1, y) = 2 * y\end{displaymath}

Proceed by induction on $y$. Note $A(1, 0) = 1$ by the definition of $A$. Note $A(1, 1) = A(0, A(1, 0)) = A(0, 1) = 2$ by the definition of $A$. Suppose $A(1, y) = 2 * y$ for $1 \leq y$. Note $A(1, y + 1) = A(0, A(1, y)) = A(0, 2 * y) = 2 * y + 2 = 2 * (y +
1)$ for $1 \leq y$.

\begin{displaymath}A(2, y) = 2^y\end{displaymath}

Proceed by induction on $y$. Note $A(2, 0) = 1$ by the definition of $A$. Suppose $A(2, y) = 2^y$ for $0 \leq y$. Note $A(2, y + 1) =
A(1, A(2, y)) = A(1, 2^y) = 2 * 2^y = 2^{y+1}$ for $0 \leq y$.

\begin{displaymath}A(3, y) = 2\uparrow y =
\begin{array}[t]{c}
\underbrace{...
...dot^{\cdot^{\cdot^2}}}}} \\
\mbox{$y$\ times}
\end{array}\end{displaymath}

Proceed by induction on $y$. Note $A(3, 0) = 1$ by the definition of $A$. Suppose $A(3, y) = 2\uparrow y$ for $0 \leq y$. Note $A(3, y + 1) = A(2, A(3,
y)) = A(2, 2\uparrow y) = 2^{2\uparrow y} = 2\uparrow(y+1)$ for $0 \leq y$.

\begin{displaymath}A(4, y) = 2\uparrow\uparrow y =
\begin{array}[t]{c}
\und...
...parrow(\cdots\uparrow2))} \\
\mbox{$y$\ times}
\end{array}\end{displaymath}

Proceed by induction on $y$. Note $A(4, 0) = 1$ by the definition of $A$. Suppose $A(4, y) = 2\uparrow\uparrow y$ for $0 \leq y$. Note $A(4, y + 1)
= A(3, A(4, y)) = A(3, 2\uparrow\uparrow y) = 2\uparrow(2\uparrow\uparrow y) = 2\uparrow\uparrow(y+1)$ for $0 \leq y$.
Hence

\begin{displaymath}
\begin{array}{rcl}
A(4,4)
& = & 2\uparrow\uparrow4 \\...
...\left(2^{16}\right) \\
& = & 2\uparrow65536
\end{array}
\end{displaymath}



Juanita Heyerman 2003-04-30