A 
Directed graphs are commonly represented as an 
Another common representation is an
Edges can sometimes additionally have an integer
 
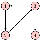
Here is a simple directed graph with four vertices V = {1, 2, 3, 4} and four edges E = {(1, 2), (2, 3), (3, 1), (3, 4)}.
Consider the following abstract data type for a directed graph with
weighted edges.  Note that while this specification does not
explicitly require any particular implementation, the required running
times of some of these functions constrain the implementation in
various ways.  For instance, a naive adjacency matrix implementation
would take Θ(n2) time to consider every
array entry in producing a list of all the edges. However the
edges function is required to do this in
O(n + m) time. 
Turn on Javascript to see the code.
Note that the create function creates and returns an
empty graph.  The add_vertex function takes a graph as
argument, adds a new singleton vertex to that graph (a vertex with no
edges starting or ending at that vertex), and returns the new vertex.
The function add_edge takes two vertices and a weight
and joins the vertices together by an edge.  These are all O(1) time
operations.
The abstraction also provides operations for getting the list of
vertices and edges of a graph, as well as
the list of outgoing edges from a given vertex.  There is
also a function incoming_ref which returns a list
of reversed edges, by taking all the incoming edges for a
given vertex and turning them into edges that go in the opposite
direction. This function is useful for exploring the back-edges in a
graph (i.e., exploring the reversed graph where all the edge
directions are swapped).
The Graph module
in graph.ml implements
this signature using adjacency lists of vertices,
where both the outgoing edge list and the incoming edge for each
vertex are explicitly represented.  That is, each edge is stored
twice, once at its source vertex and once at its destination vertex.
This makes it easy to traverse the edges of the graph in reverse,
which is useful for things like computing connected components
(described below).
In that implementation, a graph is represented as a pair consisting of the number of vertices and a list of vertices. A vertex is represented as a triple of a unique integer id, an outgoing list, and an incoming list. The outgoing list is a list of pairs of destination vertex and weight. The incoming vertex list is a list of pairs of source vertex and weight. Note that as each edge is stored twice, in the incoming list of its destination and the outgoing list of its source, the weight must be consistent in the two lists.
In that implementation, an edge is a triple of a source vertex, destination vertex and weight, and is constructed on the fly as needed from the vertex out lists rather than being explicitly stored in the data structure.
One of the most basic graph operations is to traverse a graph,
finding the nodes accessible by following edges from some starting
node.  You have already seen this operation in CS2110.
We mark the vertices as 
The order in which we explore the vertices depends on how we maintain the set of vertices to explore.  If we use a queue, so the unvisited vertices are explored in a first-in-first-out (FIFO) fashion, then the above traversal process it is known as 
Of course, such a traversal will only visit nodes reachable from the start node by a directed path.
Here is an implementation of traversal in a directed graph using
the above abstraction.  This implementation makes use of a set of
vertices of type VSet to keep track of the visited
vertices.  It performs a BFS or DFS depending on whether
the Queue or Stack package is opened.  It
also can traverse either the edges of the graph or of the ''reverse''
graph (in which all the edges have been reversed), based on the
parameter dir.
module VSet = Set.Make (struct type t = Graph.vertex 
                        let compare = Graph.compare end)
open Queue (* use Queue for BFS, Stack for DFS *)
let traverse v0 dir =
  let disc = create()
  and visited = ref VSet.empty in
    (* Expand the visited set to contain everything v goes to,
     * and add newly seen vertices to the stack/queue. *)
  let expand(v) =
    let handle_edge(e) =
      let (v, v', _) = Graph.edge_info(e) in
      if not (VSet.mem v' !visited)
      then (visited := (VSet.add v' !visited);
              push v' disc)
      else ()
    in
      List.map handle_edge (if dir<0 then (Graph.incoming_rev v)
                      else (Graph.outgoing v))
  in
    (visited := VSet.add v0 !visited;
     push v0 disc;
     while (not (is_empty disc))
     do ignore(expand(pop disc)) done;
     !visited)
In an undirected graph, a 
The 
It is possible to show that the strongly connected component from a node vi can be found by searching for nodes that are accessible from vi both in G and in Grev, where Grev has the same set of vertices as G, and has the reverse of each edge in G. Thus the following simple algorithm finds the strongly connected components.
let strong_component v0 =
  VSet.inter (traverse v0 1) (traverse v0 (-1))
let strong_components g =
  let vs = ref VSet.empty
  and cs = ref [] in
    (List.iter (function (v) -> vs := VSet.add v !vs) (Graph.vertices g);
     while (not (VSet.is_empty !vs)) do
       let c = strong_component (VSet.choose !vs) in
       (vs := VSet.diff !vs c;
        cs := c::!cs)
     done;
     !cs)
 
Here is a simple recursive function for computing a topological ordering, which operates by choosing a vertex with no incoming edges as the first node in the ordering, and then appending that to the result of recursively computing the ordering of the graph with that node removed. If in this process there ever is a graph where all the nodes have incoming edges, then the graph is cyclic and an error is raised. The running time of this method is O(n2), whereas the asymptotically fastest methods are O(n + m).
let topological_rec g =
  let rec topological_destr gr =
    let vl = Graph.vertices gr in
      if vl = [] then []
      else
      let sl = List.filter (function v -> Graph.in_degree v = 0) vl in
        if sl = [] (* No vertices without incoming edges *)
        then failwith "Graph is cyclic"
        else
          let v = List.hd sl in
            (Graph.remove_vertex gr v;
             v :: topological_destr gr) in
    topological_destr (Graph.copy g)
Here is an iterative version of topological sort which has
O(n + m) running time. Note that
while remove_vertex is O(m) time for a single
vertex, it is also O(m) time when all n vertices
of the graph are removed, because each edge is considered a constant
number of times overall in the process of removing all the vertices.
let topological_iter g =
  let gr = Graph.copy g in
  let sl = ref (List.filter
               (function v -> Graph.in_degree v = 0)
               (Graph.vertices gr))
  and revorder = ref [] in
    while !sl <> [] do
      let v = List.hd !sl in
      (sl := List.tl !sl;
       List.iter
         (function e -> 
            match Graph.edge_info e with (_, dst, _) ->
            if Graph.in_degree dst = 1
            then sl := dst :: !sl else ())
         (Graph.outgoing v);
       Graph.remove_vertex gr v;
       revorder := v :: !revorder)
    done;
    if Graph.num_vertices gr = 0
    then List.rev !revorder
    (* Remaining vertices all with incoming edges *)
    else failwith "Graph is cyclic"