Lecture 15: Natural Deduction

Natural Deduction

Testing whether a proposition is a tautology by testing every possible truth assignment is expensive—there are exponentially many. We need a deductive system, which will allow us to construct proofs of tautologies in a step-by-step fashion.

The system we will use is known as natural deduction. The system consists of a set of rules of inference for deriving consequences from premises. One builds a proof tree whose root is the proposition to be proved and whose leaves are the initial assumptions or axioms (for proof trees, we usually draw the root at the bottom and the leaves at the top).

For example, one rule of our system is known as modus ponens. Intuitively, this says that if we know P is true, and we know that P implies Q, then we can conclude Q.

P P ⇒ Q
Q
(modus ponens)

The propositions above the line are called premises; the proposition below the line is the conclusion. Both the premises and the conclusion may contain metavariables (in this case, P and Q) representing arbitrary propositions. When an inference rule is used as part of a proof, the metavariables are replaced in a consistent way with the appropriate kind of object (in this case, propositions).

Most rules come in one of two flavors: introduction or elimination rules. Introduction rules introduce the use of a logical operator, and elimination rules eliminate it. Modus ponens is an elimination rule for . On the right-hand side of a rule, we often write the name of the rule. This is helpful when reading proofs. In this case, we have written (modus ponens). We could also have written (⇒-elim) to indicate that this is the elimination rule for .

Rules for Conjunction

Conjunction (∧) has an introduction rule and two elimination rules:

P Q
P ∧ Q
(∧-intro)
P ∧ Q
P
(∧-elim-left)
P ∧ Q
Q
(∧-elim-right)

Rule for T

The simplest introduction rule is the one for T. It is called "unit". Because it has no premises, this rule is an axiom: something that can start a proof.

 
T
(unit)

Rules for Implication

In natural deduction, to prove an implication of the form P ⇒ Q, we assume P, then reason under that assumption to try to derive Q. If we are successful, then we can conclude that P ⇒ Q.

In a proof, we are always allowed to introduce a new assumption P, then reason under that assumption. We must give the assumption a name; we have used the name x in the example below. Each distinct assumption must have a different name.

 
[x : P]
(assum)

Because it has no premises, this rule can also start a proof. It can be used as if the proposition P were proved. The name of the assumption is also indicated here.

However, you do not get to make assumptions for free! To get a complete proof, all assumptions must be eventually discharged. This is done in the implication introduction rule. This rule introduces an implication P ⇒ Q by discharging a prior assumption [x : P]. Intuitively, if Q can be proved under the assumption P, then the implication P ⇒ Q holds without any assumptions. We write x in the rule name to show which assumption is discharged. This rule and modus ponens are the introduction and elimination rules for implications.
[x : P]

Q
P ⇒ Q
(⇒-intro/x)
P P ⇒ Q
Q
(⇒-elim, modus ponens)

A proof is valid only if every assumption is eventually discharged. This must happen in the proof tree below the assumption. The same assumption can be used more than once.

Rules for Disjunction

P
P ∨ Q
(∨-intro-left)
Q
P ∨ Q
(∨-intro-right)
P ∨ Q P ⇒ R Q ⇒ R
R
(∨-elim)

Rules for Negation

A negation ¬P can be considered an abbreviation for P ⇒ ⊥:

P ⇒ ⊥
¬P
(¬-intro)
¬P
P ⇒ ⊥
(¬-elim)

Rules for Falsity

[x : ¬P]


P
(reductio ad absurdum, RAA/x)
P
(ex falso quodlibet, EFQ)

Reductio ad absurdum (RAA) is an interesting rule. It embodies proofs by contradiction. It says that if by assuming that P is false we can derive a contradiction, then P must be true. The assumption x is discharged in the application of this rule. This rule is present in classical logic but not in intuitionistic (constructive) logic. In intuitionistic logic, a proposition is not considered true simply because its negation is false.

Excluded Middle

Another classical tautology that is not intuitionistically valid is the the law of the excluded middle, P ∨ ¬P. We will take it as an axiom in our system. The Latin name for this rule is tertium non datur, but we will call it magic.

 
P ∨ ¬P
(magic)

Proofs

A proof of proposition P in natural deduction starts from axioms and assumptions and derives P with all assumptions discharged. Every step in the proof is an instance of an inference rule with metavariables substituted consistently with expressions of the appropriate syntactic class.

Example

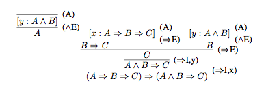
For example, here is a proof of the proposition (A ⇒ B ⇒ C) ⇒ (A ∧ B ⇒ C).

The final step in the proof is to derive (A ⇒ B ⇒ C) ⇒ (A ∧ B ⇒ C) from (A ∧ B ⇒ C), which is done using the rule (⇒-intro), discharging the assumption [x : A ⇒ B ⇒ C]. To see how this rule generates the proof step, substitute for the metavariables P, Q, x in the rule as follows: P = (A ⇒ B ⇒ C), Q = (A ∧ B ⇒ C), and x = x. The immediately previous step uses the same rule, but with a different substitution: P = A ∧ B, Q = C, x = y.

The proof tree for this example has the following form, with the proved proposition at the root and axioms and assumptions at the leaves.

A proposition that has a complete proof in a deductive system is called a theorem of that system.

Soundness and Completeness

A measure of a deductive system's power is whether it is powerful enough to prove all true statements. A deductive system is said to be complete if all true statements are theorems (have proofs in the system). For propositional logic and natural deduction, this means that all tautologies must have natural deduction proofs. Conversely, a deductive system is called sound if all theorems are true. The proof rules we have given above are in fact sound and complete for propositional logic: every theorem is a tautology, and every tautology is a theorem.

Finding a proof for a given tautology can be difficult. But once the proof is found, checking that it is indeed a proof is completely mechanical, requiring no intelligence or insight whatsoever. It is therefore a very strong argument that the thing proved is in fact true.

We can also make writing proofs less tedious by adding more rules that provide reasoning shortcuts. These rules are sound if there is a way to convert a proof using them into a proof using the original rules. Such added rules are called admissible.