Problem Set 2: Folding, Diff, and Symbolic Differentiation
Due Thursday, February 14, 23:59
Version: 3
Last modified: Saturday, February 7, 20:43
Changes:
-
Version 2: Added part 3, changed commas in part 2 examples to semicolons
Version 3: Added part 3, changed commas in part 2 examples to semicolons
Instructions
This problem set has three parts. You should
write your solution to each part in a separate file: warmup.ml, diff.ml,
and expression.ml. To help get you started,
we have provided a stub file for each part on CMS. You should download and
edit these files. Once you have finished, submit your solution using CMS,
linked from the course website.
Note: Unless otherwise mentioned, you may not use the rec keyword in this problem set. You may find the standard List module functions, namely fold_left, particularly useful. You should consider making your solution tail-recursive, as points will be taken off if your function stack-overflows with large input. Points will also be deducted for abuse of the @ operator. Side effects are not allowed.
Important notes about grading:
- Compile errors: All code you submit must compile.
Programs that do not compile will likely receive an
automatic zero. If you are having trouble getting your
assignment to compile, please visit consulting hours. If you run out
of time, it is better to comment out the parts that do not compile,
than hand in a more complete file that does not compile.
- Naming: We will be using an automatic grading
script, so it is crucial that you name your functions
and order their arguments according to the problem set instructions,
and that you place the functions in the correct files. Otherwise you
may not receive credit for a properly written function.
- Code style: Finally, please pay attention to style. Refer
to the CS 3110 style guide
and lecture notes. Ugly code that is
functionally correct may still lose points. Take the extra time to
think out the problems and find the most elegant solutions before
coding them up.
- Late assignments: Please carefully review the course
website's policy on late assignments, as all assignments handed
in after the deadline will be considered late. Verify on CMS that you
have submitted the correct version, before the deadline.
Submitting the incorrect version before the deadline and
realizing that you have done so after the deadline will be counted as a
late submission.
Part 1: Warm-Up to Folding (10 pts)
-
Write a function simple_stats : float list -> float * float * float * float * int
Given a float list, return a tuple of (min, max, mean, range, number of elements) from the input (range is the difference between the min and the max). For full credit, you must use only one list folding function, and all of the work must be done inside of this function.
Note: You may raise a suitable exception if the list is empty.
Part 2: Diff (45 pts)
- Write a function
prepend_all : 'a list list -> 'a -> 'a list list that takes in a list of lists of any
type and an element of that type and returns all of the lists with that
element added to the front of the list. For example:
prepend_all [[2; 4; 5]; []; [3; 10]] 1 =
[1; 2; 4; 5]; [1]; [1; 3; 10]]
- Write a function
union_lists : 'a list -> 'a list -> 'a list that takes in two lists of the same type
and returns a list which contains the union of the elements of the two
lists (i.e. there should be no duplicates in the list returned)
You may assume that the argument lists are already valid sets.
- Write a function
lcs : 'a list -> 'a list -> 'a list list that takes two lists and computes
the longest common subsequence (LCS) of the elements in the two lists. This
function should return a list of lists, and which contains all possible
LCS in case of a tie. Note that a subsequence is not the same as a substring. If a sequence has some of its elements removed without the order of the remaining ones changed, then the resulting sequence is a subsequence of the original sequence. For example, [A; C] is a subsequence of [A; B; C; D]. The LCS of two lists is then the longest subsequence that is in both lists.
The general algorithm for doing computing the LCS is described below.
Consider two nonempty lists, lst1 and lst2. Let
fin1 be the last element in lst1 and
start1 be the rest of lst1, and fin2
and start2 be the same for lst2.
Say that we want to find the LCS of lst1 and lst2. If
fin1 = fin2, then this element must be in subsequence,
and the rest of the subsequence can be found by recursing on start1
and start2. If fin1 <> fin2, then they
cannot both be in the LCS. Therefore,
we take the best out of three cases:
- fin1 is not in the subsequence, so we can find the
subsequence by recursing on start1 and lst2 and take
the longest subsequence of the two
- fin2 is not in the subsequence, so we can find the
subsequence by recursing on lst1 and start2 and take
the longest subsequence of the two
- Neither fin1 nor fin2 is in the subsequence, so we can
find the subsequence by recursing on start1 and start2 and
take the longest subsequence of the two
The recursive algorithm described above will work, but it will be
extremely slow because it runs in exponential time, and will end up repeating work a very large
number of times.
To fix this problem, we are going to use a technique called dynamic programming, and incrementally build up to the solution starting from the base case of finding the LCS of two empty lists.
In the picture below, the list [G; A; C] is lined up against the first column, and the list [A; G; C; A; T] is lined up across the first row. In this matrix,
finding the value at position (row, column) is the same as finding
the LCS between the lists represented by that
column and that row. For example, if we label the cell at the intersection of the two empty lists as (0, 0), then cell (2, 3) represents the LCS of [G; A] and [A; G; C]. This means that if we can fill the bottom right corner of the matrix, then we have found the LCS of [G; A; C] and [A; G; C; A; T].
 |
Figure 1 Image from Wikipedia
Say we want to fill in cell (2, 4). Since fin1 = fin2, we simply take the result in (1, 3) and add
A to all of them.
Suppose instead that we are trying to fill in cell (2, 3).
We can see that A and C are not the same. This is the fin1 <> fin2 case, and we use the best of the three cases listed above. The result of
start1 and lst2 is in the cell at (1, 3).
The result of lst1 and start2 is in the cell at
(2, 2). The result of start1 and start2 will be
included in one of those two cells already, so we do not have to
worry about it. We have two cases when comparing results:
-
If the length of LCS in one cell is longer than the length of LCS in the other cell, then we use the result from the first cell
-
If the length of LCS in both cells is equal, then we take the union of the results
We can run this algorithm by filling in the matrix
starting from the top left and going across each row. Notice how it is not necessary to store the entire matrix.
Since each row only depends on the row before, it is enough
to keep track of only the previous row and the row that you are
currently building.
If you would like to read more about the longest common subsequence,
you can check out Wikipedia. Example output to the problem shown in the table is given
below. Note that the order in which you give the best subsequences
does not matter.
lcs [A; G; C; A; T] [G; A; C] = [[A; C]; [G; C]; [G; A]]
- You may use the
rec keyword for this problem.
Write a function diff : string -> string -> string list that takes the names of two files as strings and returns a list of strings representing
the changes between the two files. The first file should be the
original file, and the second should be the updated version. After loading the two files using the provided function, you can use the result from your lcs to produce the output (you may choose any of the subsequences in case of a tie). The output should be computed as follows:
- Any line that appears in both the original file and the LCS or in both the updated file and the LCS is unchanged, and should have no effect on the output.
- Any line that is in the original file but not in the
LCS must have been deleted. Deletions from the original file should start with "- " prepended to the beginning of the line.
- Any line that is in the updated file but not in the LCS must have been added. Additions to the updated file should start with "+ " prepended to the beginning of the line.
- A change should be represented as a deletion and then an
addition. If multiple lines are changed, all of the deletions
should appear before all of the additions.
The relative ordering of lines must be consistent in the output. However, you can treat changes to multiple lines as deleted first then added second. The figure below shows an example of how the function works:
 |
Figure 2: A diff Example
Each non-green color group represents a "change", and the output always shows the deletion first and addition second.
As you test your code, you may come across cases where
the diff produces a valid output, but it could have been cleaner. For example, you can run your diff on these two inputs
programming programming
language using
ocaml programming
is language
awesome! ocaml
is
awesome!
and get this output:
"+ using"
"+ programming"
This is a bit bothersome, as it is clear that the first two lines in
the new file are the ones that were added, not the second and third.
We are not concerned about this, but there are some diff-erent algorithms
that do a better job of handling it.
If you are interested in learning more
you can find an example here.
Exceptional diff implementations may receive karma.
Part 3: Symbolic Differentiation (45 points)
In the Summer of 1958, John McCarthy (recipient of the Turing Award in
1971) made a major contribution to the field of programming
languages. With the objective of writing a program that performed
symbolic differentiation of algebraic expressions, he noticed that
some features that would have helped him to accomplish this task were
absent in the programming languages of that time. This led him to the
invention of LISP (published in Communications of the ACM in 1960) and
other ideas, such as list processing (the name Lisp derives from "List
Processing"), recursion and garbage collection, which are essential to
modern programming languages, including Java. Nowadays, symbolic
differentiation of algebraic expressions is a task that can be
conveniently accomplished with modern mathematical packages, such as
Mathematica and Maple.
The objective of this part is to build a language that can
differentiate and evaluate symbolically represented mathematical
expressions that are functions of a single variable x. Symbolic
expressions consist of numbers, variables, and standard functions
(plus, minus, times, divide, sin, cos, etc). To get
you started, we have provided the datatype that defines the
abstract syntax for such expressions.
type bop = Add | Sub | Mul | Div | Pow
type uop = Sin | Cos | Ln | Neg
type expr = Num of float
| Var
| BinOp of bop * expr * expr
| UnOp of uop * expr
This datatype provides an internal representation of an expression
that the user might type in. The constructor
Var represents the single variable x, and
UnOp (Ln, Var) represents the natural logarithm of x.
Neg refers to unary negation and is denoted by the symbol ~.
(the symbol - is only used for subtraction). The meaning of the others
should be clear.
Mathematical expressions can be constructed using the
constructors in the above datatype definition. For example, the expression
x^2 + sin(~x) would be
represented internally as:
BinOp (Add, BinOp (Pow, Var, Num 2.0), UnOp (Sin, UnOp (Neg, Var)))
This represents a tree in which nodes are the type constructors
and the children of each node are an operator and the
arguments of that operator. Such a tree is called an abstract
syntax tree (or AST for short).
For your
convenience, we have provided a function parse_expr which
translates a string in infix form (such as x^2 +
sin(~x)) into a value of type expr.
The parse_expr function
parses according to the standard precedence of operations, so
5 + x * 8 will be read as
5 + (x * 8). We have also provided two functions
to_string and to_string_smart
that print expressions in a readable form
using infix notation. The former produces a fully-parenthesized
expression so you can see how the parser parsed the expression,
whereas the latter omits unnecessary parentheses.
# let e = parse_expr "x^2 + sin(~x)";;
val e : Expression.expr =
BinOp (Add, BinOp (Pow, Var, Num 2.), UnOp (Sin, UnOp (Neg, Var)))
# to_string e;;
- : string = "((x^2.)+(sin((~(x)))))"
# to_string_smart e;;
- : string = "x^2.+sin(~(x))"
For full credit, only use rec in your implementation of fold_expr.
Do not use rec in evaluate and derivative.
- Write a function
fold_expr : (expr -> 'a) -> (uop -> 'a
-> 'a) -> (bop -> 'a -> 'a -> 'a) -> expr -> 'a such that
fold_expr atom unary binary expr performs a postorder traversal of
expr. During the traversal, it applies atom :
expr -> 'a to every leaf node (i.e. Var or
Num). It applies unary : uop -> 'a -> 'a
to every unary expression. The first argument to unary
is the unary operator and the second is the result of applying
fold_expr recursively to that expression's operand. Finally,
fold_expr applies binary : bop -> 'a -> 'a ->
'a to every binary expression. The arguments to
binary are the binary operator and the results of
recursively applying fold_expr to the left and right operands.
For example, here is a function that uses fold_expr to
determine whether the given expression contains a variable.
let contains_var : expr -> bool =
let atom = function
| Var -> true
| _ -> false in
let unary op x = x in
let binary op l r = l || r in
fold_expr atom unary binary
You may use rec in your implementation of fold_expr without penalty.
- Using
fold_expr, write a function eval : float
-> expr -> float such that eval x e evaluates
e, setting Var equal to the value
x. For full credit, do not use rec in evaluate.
Example: eval 2.0 (BinOp (Add, Num 2.0, Var)) = 4.0.
- Using
fold_expr, write a function derivative :
expr -> expr that returns the derivative of an expression with
respect to Var. The expression it returns need not be
simplified. For full credit, do not use rec in derivative.
Example: derivative (BinOp (Pow, Var, Num 2.0))
= BinOp (Mul, Num 2., BinOp (Mul, Num 1., BinOp (Pow, Var, BinOp (Sub,
Num 2., Num 1.))))
When implementing this function, recall the
chain rule from your freshman calculus course:
This rule tells how to form the derivative of the composition of two functions if
we know the derivatives of the two functions.
With the help of this rule, we can write the derivatives
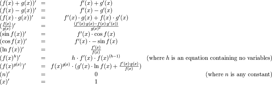
for all the operators in our language:
There are two cases provided for calculating the derivative of f(x) ^ g(x),
one for where g(x) = h does not contain any variables, and
one for the general case.
The first is a special case of the second, but it is useful to treat
them separately, because when the first case applies, the second case
produces
unnecessarily complicated expressions.