Common Mistakes in Problem Set ONE
Problem 1: (2+2)
Problem 2: (2)
Problem 3: (2+2+2)
The common mistake was to misunderstand the meaning of "who satisfies Rule 1 but does not satisfy either Rule 2 or Rule 3". It means that the person should satisfy rule 1 and should neither satisfy rule 2, nor rule 3. Some students took it as the person should satisfy rule 1 but does not satisfy rule 2 or does not satisfy rule 3 (which is not correct). One point was taken off for that.
Another misunderstanding was regarding the meaning of Art. Some took it as Arts and Science School while others took it as Architecture. Actually it was intended to be another identifier (and no meaning should have been attached to it). No point was taken off if you solved the problem with your interpretation.
When A does not imply B, it means that if A is true, B might not be true. It might be true also. So, the statement that "B cannot be true" is not correct. It should be "B might not be true".
Problem 4: (2)
In problem 4 the most common problem seemed to be that people forgot to say that the two machines were different. Remember, if you say ExEy....
then it DOES NOT automatically mean that x and y are different.
Also, some people said things like
(ExP(x)) AND (EyP(y)) AND (x != y)
I did my best to be lenient about parenthesis but in this case it is clearly wrong. The first part
(Ex(P(x))
is a completely encapsulated statement, the Ex does not apply to the other two parts because of the parens. What you wanted to write was
(ExP(x) AND (EyP(y) AND x != y))
But I also accepted thigns like
ExP(x) AND EyP(y) AND x != y
assuming that you would have gotten the parens right if you had tried to.
Problem 5: (3)
Common mistakes were to forget to mention that the solution is not unique, for which I deducted 1 point. Also, people just got the answer wrong, which cost them between 1 and 2 points depending on the severity of the mistake (I don't believe anyone received no credit).
Problem 6: (4)
If you got the correct counter example in a suitable form you got 4 points. The biggest problem I saw is that some people thought that circuits had to be Trees, but this is not the case.
If you proved it for the tree case I awarded 2 out of 4 points.
Problem 7: (4)
Feedback: most of the points were taken off for not explaining why *all* the variables were influential, and just giving one. some seemed to think that to be influential, a variable had to change the truth value of the formula in all possible truth assignments, which is not true (there just needs to exist one). some those who did get the problem right failed to take advantage of the inherent symmetry in the problem.
while this solution was acceptable, a simpler solution was preferred.
Problem 8: (Correct or Incorrect 0/1)
"Approximately half the students attempted this problem, of which perhaps half received credit. Apart from only solving the question for positive coalitions, the two most common problems were a) trying to guess the expressions from trying a few simple cases without proving anything, and b) assuming that the expressions for negative coalitions would be just the reverse of those for positive coalitions.
In the former case, even if you manage to guess the correct expressions (most people didn't), without a proof your solution can receive no credit. In the latter, running a simple check with small numbers would have shown that the expressions are slightly different.
Just as examples without a proof are only good as a starting point in finding the formula, a theoretical proof without checking your results leaves you open to simple errors or mistaken assumptions.
Many people received no credit despite completing half of the problem; this is because optional problems are graded all-or-nothing. In general, almost everyone who correctly found (and proved!) the expressions for the size of the coalitions received credit. Given the fact that these problems are completely optional, worrying too much about whether or not you received credit is not necessary. (If you feel a mistake has been made in grading on other problems, follow the procedure for getting a regrade.)"
Common Mistakes in Problem Set TWO
Problem 1: (1+1+1+1+1+1=6) Hari
The most common problem was people didn't follow directions and used logic instead of english.
Problem 2: (1+1+1=3) Joel
For problem 2 there were basically no common mistakes, since getting it wrong was extremely uncommon.
For problem 7, I'd say one common error was do use a reverse implication in the inductive step without explicitly stating it (i.e.
working backwards from what you're trying to prove).
Problem 3: ()
Problem 4: (4) Zach
As far as grading is concerned, Most people
got my problem right, but did not know how to write a correct proof. So I
took off 1 point for each major style mistake. One big flaw that I saw
across a lot of papers is that they wanted to show expression A equal to
expression Z
so what they did is (capital letters are expressions)
A = Z
B = Z
C = Z
...
Z = Z
this is only correct if you put if and only if after each line, and in the
future they instead should do A = B = C = ... = Z.
Also, people should realize that P(n) is about a particular n, not all n.
Problem 5: ()
Problem 6: (6) Sam
The biggest difficulty people had with this problem was the algebra in the induction step. this is the first induction homework, so it is expected that proper form for inductive proofs is still being learned, but I won't discuss that here. specifically, the most common mistake was that people used the inductive hypothesis in the wrong place. in terms of logic, reducing something to a true statement does not make the original statement true. it must be noted that in an inductive proof of this sort, the implications between statements are directed from later statements to earlier ones, not the other way around. for example, if I need to prove that a >= b given a >= c, saying that b > c, and thus a >= c does not show that a >= b: the implications go in the wrong direction.
Problem 7: (2+4+3) Kevin, Yogi
One more thing that I saw in some of the solutions is
that students were putting down induction hypothesis but never using it.
Instead they said that the player will win "eventually" proceeding
in similar fashion... but this is the precise reason we use induction, to
formalize this "eventually".
Problem 8: [Optional--Correct or Incorrect] Tom
I saw few problems among those who turned in solutions. Anyone who correctly found the squares from which player 1 cannot win, and provided justification, received credit. A few people did only the first steps, then stopped, missing 2 squares from which player 1 loses. Two people misinterpreted the problem as "whoever moves onto the goal square loses". Credit was awarded, as this is an equally interesting problem --- but this reversal of the goal changes the solution completely. We were hoping that someone might find a general formula, but no one did.
Common Mistakes in Problem Set THREE
Problem 1 (1) Zach
Problem 2 (2) Zach
There are no general comments for 1& 2, it was for the most part all or nothing.
Problem 3 (4) Tom
Most people are comfortable with a problem like this by now. Almost everyone recognized that strong induction was the way to go (though a few people correctly proved the statement using only weak induction), found the necessary base cases, and proceeded correctly through the inductive step. The majority of points were lost from sloppy mistakes, rather than flaws in the idea.
Most commonly, some people again put a "for all n in N" statement inside of P(n). This is never correct.
"P(n): for all n in N, n >= 12, a team can score n points."
This is wrong (nonsensical!), and lost you some credit. Just say
"P(n): a team can score n points". You will then only _prove_ P(n) for n >= 12, but that's better done in your proof than in P(n). The other problem, which appeared far too often, was treating P(n) as a number.
This is bad, but understandable, when P(n) is the correctness of some formula for n. But in this case, when P(n) is just a statement, it makes no sense to write the following:
P(n+3) = P(n) + 3
n+1 = P(n-2) + 3 = 3a+7b + 3
This is a "type mismatch", in a way: P(n) is a statement, and you can't add 3 to a statement. Be clear about where you assume P(n), where you conclude P(n+3), and where you're just doing algebra.
Problem 4 (4) Yogi
There were many small small mistakes students made in this question.
One mistake was that many people wrote that P(0) for k=0 is H(2^0)<=1+1. The right hand side should have been 0+1 as it is k+1 and for k=0 it is indeed 0+1. Some students started the base case at k=1 which is NOT correct as we were to prove the statement for all k greater than or equal to 0.
Some students forgot to attempt the second part in which we were to prove that H(n)<=ceil(log n+1). Others said it is obvious and did not prove. Obviously, no points were awarded in such cases.
Others said that taking k=log n and using the first part gives the result. This is also wrong as log n may not be an integer while first part was proved only for integers. No points were awarded if you made this mistake. The correct proof is
H(n) = H(2^{log n}) <= H(2^{ceil(log n)}) <= ceil(log n)+1
where the last inequality follows from first part (part a) and log is base 2.
Another mistake that some of the students made was that they wrote
H(2^k)=1+1/2+1/4+1/8+1/16+...+1/{2^k}
which is clearly wrong. Nothing remains to prove if you made this mistake.
One more mistake that a couple of students made: they wanted to prove that if 2^{k-1}<n<=2^{k} then ceil(log n)=k. This is true. But they showed that the inequality above holds for n=25 and hence it is true. Proving inequality for one integer in no sense imply that it will hold for other integers also...
Problem 5 (5) Hari/Joel/Sam
The biggest problem that people had when doing this problem was that they assumed (explicitly or implicitly) that just because some element satisfied B'(X), there must be a ranked order of all the elements according to the majority preferences. This is not true! In fact, this is exactly what the statement of the problem said was not necessarily true with respect to B(X). If we define the two step preference needed for B'(X) as X>Y, meaning X is either in one step or two steps preferred to Y by the majority, then if X > Y and Y > Z, it is NOT necessarily true that X > Z. This transitivity is what would make a ranked order necessary. So, most of the points on the problem were lost a proof went along the lines of inserting the new (n+1)st element (in the inductive
step) somewhere into "the list" or "the ranked order" or "somewhere below the previous winner in preferences". There is more that needs to be said.
Problem 6 (4) Kevin
Problem 7 (Correct or Incorrect) Zach/Sam
For the optional problem, first off, a lot
of people did not know what closed form meant. A closed form expression
f(n) is an expression involving n, which does not rely on any other values of
f(i) for i not n. For example a summation is not typically a closed form
expression.
Also, you were not allowed to assume the recurrence relation r(n) = r(n-1) + n,
you had to justify this. This problem is also all or nothing, so any
mistake got a 0.
Common Mistakes in Problem Set FOUR
Problem 1 (2) Kevin
Problem 2 (3) Hari
For the most part, people got problem 2
correct. The most often made mistake was that people forgot that multiples
of 25 each contribute 2 zeros at the end of the number, not just 1.
As a side note, some people solved this problem by writing out all the numbers
from 1 to 99 and counting the multiples of 5 and the multiples of 25.
While this method works, these people should read the solutions posted since its
possible that you might be asked at some point "how many zeros are at the
end of 999!" and then you dont want to write down every number from 1 to
99.
Problem 3 (4) Joel, Sam, Yogi
This was the most difficult question on the problem set for most people.
The most common mistake was to improperly do the induction step when involving powers of 3 into P(n). The problem basically boiled down to the fact that when trying to invoke the IH, it was not obvious/trivial that the k for which P(k) was assumed to hold was in fact in the IH. It followed directly from the fact that the sum of the powers of 3, i.e.
\sum_{i=0}^{n} 3^i, is equal to ( 3^(n+1) - 1 ) / 2. However, few people mentioned this fact and hence their proof was invalid.
Besides two solutions given in the solutions, there is another solution in which we can convert base 3 normal representation to the representation in question. Some students did it but failed to prove that this conversion works correctly, in particular that this conversion does not produce any duplicate powers. The solution was assumed to be "half correct" only.
While forming the induction hypothesis, some (rather many) student just said that a number up to certain limit can be represented by difference of powers of three, without mentioning how many powers of three are needed, that is what is the highest power used in the representation. Students using this "weaker" induction hypothesis did not prove that the powers of 3 are not duplicated... and hence the solution was not entirely correct.
Some students did not know what the base case was, so they tried to prove for n=0, 1, 2 and up to some finite number (typically 3 or 5). For determining the base case, you should go to the induction step and see which lower values of n do you need and prove the base case for so many values of n. In this question, base case for n=0 and 1 was enough. Although its not wrong to prove the base case for 0, 1, 2, 3, 4, 5 when you need to prove only for 0 and 1, but you should know which values are needed in the base case.
Problem 4 (3) Zach
For problem 4, the only correct way to do
the problem is by induction. If you tried to unravel the induction, 1
point was deducted. In the induction argument, the correct inductive step was
worth 2 points, and the format of the proof and base case were worth 1.
Problem 5 (3) Tom
The biggest issue with this problem was with people trying to use induction to prove the claim. Only one person in the class correctly used induction; everyone else who gave an "inductive proof" ended up proving the result directly. (See below for an explanation of why induction was not necessary.) No points were taken off for mistakenly thinking you were using induction. Nor did you lose any points if you were off-by-one, and claimed that (k+1)! + 1 through (k+1)! + k were all composite. (The first may not be: consider 3!+1=7.)
If you said that the claim was false, you did not receive any credit (because your proof was necessarily wrong). Those of you who said "now let k -> infinity, and we see that there must be an infinite sequence of composite numbers, which contradicts the infinitude of primes" received no credit. Infinity is not a natural number, and you cannot let k -> infinity.
Some people tried to use the Prime Number Theorem as follows: "we know by the prime number theorem that the primes get sparser, thus the distance between consecutive primes must be increasing, so eventually the distance between two consecutive primes will be greater than k, and we've got our sequence." This does not work, because the prime number theorem is a statement about the *average* distribution of primes. Assuming the Goldbach conjecture is true, there are infinitely many "twin" primes -- two primes p and p+2 -- which means that the distance between primes is not increasing (though it _tends_ to increase). There were some correct proofs based on the prime number theorem, which said that if the claim were false (that is, there existed some k such that there was no sequence of k composite numbers) then we could establish a minimum on the density of primes (1/k, in fact). Since we know that the primes *tend* to get sparser [with their density approximately ln(n)/n], there can be no constant minimum on their density. (You needed more justification; this is a sketch.)
For those of you who used induction, in [almost] every case it was unnecessary. The following is a proof:
For any k, let n = (k+1)! + 1. Then [prove this directly] n+1, n+2, ..., n+k is a sequence of k consecutive composite numbers.
You don't need to wrap this in an induction, with base cases, a conclusion, etc. Induction is used when the truth of the statement for one number -- P(n+1) -- follows from the truth of the statement for the previous number, P(n) [or in the case of strong induction, from the truth of the statements for ALL previous numbers, P(1) and P(2) and ... and P(n)]. If you can prove the statement directly (for example, by giving an explicit sequence of k composite numbers), then induction won't help you. Your inductions were not *wrong*, exactly; you could prove P(n+1) directly without appealing to P(n), but that doesn't inherently make it wrong. Using induction where you don't need to just makes your proof harder to write, understand, and grade.
Problem 6
Problem 7
Common Mistakes in Problem Set FIVE
Problem 1 (4) Yogi
Most of the students got the idea behind the question right and they even gave the correct answer that three consecutive terms are needed to determine the whole sequence, but there were a lot of small mistakes regarding some degenerate cases (see below). You gathered one point for the correct answer without any justification (or wrong justifications).
Most of the students got the equation a(x_n-x_{n+1})=(x_{n+1}-x_{n+2}) (mod p) and then said that we can solve this equation "easily". You should have said that the we multiply both sides by the inverse of (x_n-x_{n+1}) (mod p) and then get the value of a. May be that step was obvious to the students, but this step should be mentioned because if you mention this, you will catch some mistakes (one of them described below).
In the above equation, we can not solve for a if x_n\equiv x_{n+1} (mod p) and then the method of solving fails. (if you would have said that we multiply by inverse of (x_n-x_{n+1}), then you might have caught your own mistake by observing that inverse of zero does not exist) In such a case, we note that x_n=x_{n+1} and then all the subsequent terms are equal. (see the solution for details). You lost one point if you did not mention what happens in case of x_n being congruent to x_{n+1} modulo p.
A very few students tried to show that we cannot determine the whole sequence given just two terms. Some of them tried to do by giving two terms and showing that two different pairs (a,b) and (a',b') satisfy x_{n+1}=a(x_{n})+b (mod p) and hence the term x_{n+2} cannot determine uniquely. This was a nice solution by counterexample. For a more general solution, see the solutions to this problem set on CMS.
Problem 2 (2+2) Kevin
(a) The most common mistake students made was to count only powers of p as being not coprime with p^k. Many people forgot to consider multiples of p that weren't powers of p, like 2p, 3p, etc. Another common mistake was to overcount p^k, i.e., students would say "there are p^(k-1) numbers between 1 and p^k that share a factor with p^k, and we don't count p^k itself, so the answer is p^k - p^(k-1) - 1." This double-counts p^k, because it is included in the p^(k-1) numbers that share a factor, so you don't need to subtract it again.
(b) The exact same types of mistakes were made in part (b) as were made in part (a). Some students did not mention that 2p, 2q, 3p, 3q, etc. are all not coprime with pq, and consequently they found answers like pq-1, pq-2, or pq-3. Many people overcounted as in part (a), and were off by plus or minus 1 (like counting pq twice).
Problem 3 (4) Sam
Most got this question correct using strong induction. The biggest mistake was trying to prove the claim directly and not doing so rigorously. It is possible to prove it directly by bounding the number of operations per bit in the (binary) representation of the input, and showing that the number of bits decreased in recursive calls. Finally, invoke the well ordered principle, claiming that the running time is as claimed. However, few students who tried to prove it directly do so in this fashion. Most just gave an intuitive reason why the running time was as claimed, or tried to do a worst case input analysis. The problem with the latter option is that you have to prove that your worst case really *is* the worst case for this problem, and this brings you right back to where you started.
Problem 4 (4) Hari
Most people got this problem right. Since the running time was not required, we didn't take off points for not giving it. However, students should read the solutions and make sure that they understand how to give a running time analysis.
The solution just asserts that the running time of Euclid's algorithm is polynomially bounded. For rest of the argument, observe that for each number n, we need to compute its gcd with atmost n-1 other numbers. This way, we do just O(n^2) gcd computations, and hence total time being polynomial * O(n^2) which is again a polynomial. Once, we get the factors of the number, finding decryption is O(n) (constant time for each number).
Problem 5 (2) Tom
Almost everyone realized that the solution was p=floor(square root of n). Problems came up with the running time, though. You needed an algorithm that was polynomial in the representation of n -- that is, polynomial in log(n). Assuming that square root took constant time didn't lose you any points, as a binary search can find sqrt(n) in O(log n) time. If you used the quadratic formula to get -1 + sqrt(1+n), note that the algorithm does not have to go through the quadratic formula. It just needs to compute -1 + sqrt(1+n), which is O(log(n)). (Note that even if you claimed that it is O(1), which is false, no credit was lost. As long as your algorithm really was polynomial in log(n), I ignored incorrect analyses.)
The following did lose credit: "[calculations] Now we know that p is less than sqrt(n), so we just check all the numbers less than sqrt(n) until we find some k such that (k)(k+2)=n, and then return k and k+2. This runs in O(sqrt(n)) time." Since every composite number n has a proper factor less than sqrt(n), this algorithm could be used to factor any number, even if twin primes weren't used. It is a fact that
O(sqrt(n)) grows faster than any polynomial in log(n) [ex. log(n)^3+7log(n)^2],
which is why this running time doesn't satisfy the requirements given in the problem. Note that if you said "We only have to check a finite number of numbers around sqrt(n), so it's O(log(n))", you were correct. It's all right to check ANY finite number of numbers, as long as that finite number doesn't depend on n.
Problem 6 (4) Joel
There were two common forms of mistakes on this problem. First, people sometimes failed to justify their steps in proving m^(de) = m mod n. It is necessary (for most proofs) to mention Fermat's little theorem, and ideally the Chinese remainder theorem. If too many steps were unclear of left unjustified points were deducted.
A second form of mistake was to misinterpret what the problem was asking. It was not asking to show that a d exists such that de = 1 mod (p-1)(q-1)(r-1). This follows directly from the assumption that gcd(e, (p-1)(q-1)(r-1)) exists. Rather it was necessary to show that for d, the inverse of e mod (p-1)(q-1)(r-1), m^(ed)=m mod n, where n = pqr.
Problem 7 (Optional 0/1) Sam, Yogi
This problem was relatively easier than the optional problem of the other problem sets. Almost everybody who attempted got it right. You had to expand (p-1)(q-1) to pq-(p+q)+1 = n-(p+q)+1 and then you have p+q and pq. Solving the quadratic equation gives the solution. The only tricky step was to note that solution of quadratic can be found in polynomial time (especially because the solution, that is the prime number, was an integer). A couple of students even mentioned that the running time of finding square root is O(log n) (which is true if we assume multiplication to be constant time).
A few (many be one or two) students tried finding the squareroot iteratively (that is starting from one and going up to the square root). This takes exponential time in the length of the input and is not correct (as the question asked for a polynomial time algorithm).
Problem 1 (Hari)
Most people got this correct but gave somewhat awkward answers (especially to part a). In general answers of this sort should be given is easy to read English (see solutions).
Problem 2 (Kevin)
Problem 3 (Yogi)
The general statistics on this problem: a good majority of people got full credit in this problem (or 5.5) and those who were afraid of using induction, had some problem.
Out of two points on first part, One point was deducted if you tried calculating a_2, a_3, a_4 but made some algebraic error (and if you made the error in computing a_2 or a_3, you probably did in a_4 too). For part (b), figuring out what to do and proving base case of induction carried 1 point. Doing the correct substitution amounted to 2 points and manipulating the substituted sum (and hence getting the answer) helped you get one more point (hence summing to 4 points).
Most common mistake was to mess up in substituting the values of a_1, a_2,... in the sum correctly. For a_i, some students wrote 2^{n-1}/n instead of 2^{i-1}/i.
Some of the students substituted values of a_1, a_2,... correctly but did not manipulate the sum correctly, making mistakes in summing the series 1+2+...+2^{k}. They wrote the answer to be (2^{k+1}-1)/(k-2) while the denominator was supposed to be (2-1). If you made this mistake, the resulting term was hard to manipulate and you did not reach the final term.
A couple of guys wrote two answers, one of which was wrong and other correct. You should have crossed out the first (wrong) part as instructed in prelim.
Problem 4 (Tom)
The mistakes on this problem were of two kinds: you made a mistake in your arithmetic, or you didn't know how to use Euclid's algorithm to express gcd(n,m) as a linear combination of n and m (the second part of the problem). Also some people copied down the numbers n and m incorrectly.
Problem 5 (Hari)
Lots of people left out a step or two. In general people seemed to be pretty good with this, though some proofs were hard to read.
A decent number of people got confused with the symbols. a | b means "a divides b." Unfortunately, if you read it as "b divides a" the claim is trivially false, so it was difficult to give partial credit for counter-examples.
Problem 6 (Tom)
Again, here you needed to find the inverse of 23 mod 101, most likely using Euclid's algorithm. People made mistakes in arithmetic here as well. Note that 23 * 22 = 506, so it was easy to check if the inverse you found really was an inverse. While it was theoretically possible to find the inverse either by brute force (checking every number) or a clever trick (manipulating equations), only one person actually succeeded in doing this. Euclid's algorithm was the best method of approaching this problem. A few people came up with the original answer of 23^99, since for p prime we have a^{p-1} = 1 mod p, showing the inverse of a to be congruent to a^{p-2}. Bear in mind that this solution only worked because we asked for any integer satisfying the equation; if we had asked for a number less than 101, this method could not be adapted to answer the question.
Problem 7 (Sam)
The only problems that were encountered was confusing relatively prime with congruent to 1 mod m and not explaining why the induction hypothesis can be used in making the conclusion. In order to get full credit, it was necessary to mention or show that one step of Euclid's algorithm is being used.
Problem 8 (Zach)
In order to receive full credit for this part, you needed to have used Fermat's little Theorem (or prove the statement of it without mentioning its name).
For this part, it is not enough to solve for a in terms of x, as x is an indeterminant. If you did this, you received only 1 point. It was also not sufficient to give only one example of an a that worked.
This problem was all or nothing. In order to receive two points, you needed to say that there was one solution and justify the claim.
Problem 9 (Eva)
Common Mistakes in Problem Set SIX
Problem 1 (Tom) [4 points]
Problem 2 (John) [3 points]
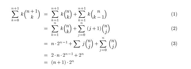
Problem 3 (Yogi) [4 points]
Most of the students got this problem right, and those who did not got almost no credit. A very few students were there who made some small mistakes and hence got only a partial credit.
One mistake that many students made (and I did not take off points for that) is that they did not explicitly mention that {n \choose -1} is zero or {n \choose n+1} is zero. The best thing was to drop the term corresponding to k=0 in the summation (as it had multiplication with k), otherwise, the cases of choosing negative number of items should have been handled correctly.
Some students did the proof by
induction, and

were not comfortable with the step 2 where we substitute k-1=j. If you went
only will step 1 above, you collected 2 points (out of 4 possible).
Problem 4 (Tom) [3 points]
Problem 5 (Kevin) [4 points]
Problem 6 (Joel) [4 points]
Problem 7 (Yogi) [Optional 0/1]
This was a difficult problem compared to the last problem sets' optional problem. There were three parts to the problem, and computing s(n,k) was the most difficult. Unfortunately, due to the grading scheme on optional question, if you attempted two easy parts but did not find the expresion for s(n,k), you did not get the credit. Some common pitfalls were the following:
Some students said that they found the particular formula with ``brute force'' and wrote that as their answer. You were needed to supply the proof/argument how you got the particular expression for s(n,k), failing which you did not receive any credit (even if your expression happened to be correct).
Some student made the mistake that they said that we can select n-2k position in just n-2k+1 ways because they could either be all one, or all zero or 1's followed by zeros. This is true if you are not allowed to break up this set of n-2k positions. But these n-2k position could have been divided in k+1 continuous chunks, and hence the above argument works for each of those chunks, but not for all n-2k positions. We have to take care of number of ways in which n-2k position can be partitioned in k+1 parts.
Please see the solutions for further details.