Answers to Review Questions for
the Final Exam
CS 280 - Fall 2002
The Final Exam takes place at noon on Thursday, Dec 12, in Olin 155. I will try
to arrive early so that we can start right at noon. Although the final
exam will be somewhat longer than the two prelims, I do not expect that you will
need the entire 2.5 hours allotted by the registrar for the final exam. I
plan to stop the exam and collect the papers by 1:30 or 2 at the latest. The
final exam is worth 30% of your final grade; the homework is worth 30%; and the
two prelims are each worth 20%.
The use of extra material is not permitted during the exam (i.e., no
textbook, no notes, no calculator, etc.).
The exam includes material from readings and lecture throughout the semester,
although the material covered since Prelim II will be stressed more heavily.
See the Schedule for a list of topics covered in
lecture and for the corresponding readings. The exam will attempt to gauge
your knowledge and understanding of course concepts. You shouldn't need to memorize long proofs
given in the text or in class (although you should understand such proofs).
The review questions given here are not meant to exhaust the possible topics
for exam questions. Consider reviewing the previous Review Questions,
Prelims I and II, the homework assignments, and the appropriate sections of the
text.
Most of these questions are from exams given in previous incarnations of
cs280.
Please let me know via email (chew@cs.cornell.edu)
if you discover mistakes in my solutions. Past experience indicates that I
may have made some.
-
- Determine which of the following propositions are tautologies.
Show why.
(p -> (not p)) -> (p -> q)
tautology, use a truth table
[(p or q) -> r] <-> [(p -> r) or (q -> r)]
not a tautology (p=T, q=F, r=F)
- Write down a proposition P over the variables p, q, r
such that P is false only when p, q, r have truth
values false, true, false or true, false,
false, respectively.
(p or ¬q or r) and (¬p or q or r)
- Can such a proposition P be constructed using connectives and
and or only? If yes, do. Otherwise, show why not.
No. Every proposition built from and and or is
false when all the atoms are false.
-
- Let L(x, y) be x loves y, b be Bob,
m be Mary. Give English language translations of the
following symbolic sentences (do not use variables in the answer).
(for all x) (there exists y) L(x,y)
Everybody loves somebody.
(there exists x) L(x, b) -> L(m, b)
If somebody loves Bob then Mary loves Bob.
(for all x) (L(x,m) -> ¬L(b, x))
Bob does not love anyone who loves Mary.
L(b,b) -> ¬L(b, m)
If Bob loves himself then he doesn't love Mary.
- Which of the following sentences are logically equivalent? In
principle, you have to determine equivalence for all 6 pairs of
sentences.
(there exists x)(A(x) -> B(x))
(there exists x)(A(x) -> (for all y)A(y))
(for all x)A(x) -> (there exists x)B(x)
(there exists x)B(x) or (for all y)¬B(y)
The first is equivalent to the third. The second is equivalent
to the fourth (both are equivalent to True).
- Which of the following are true (A and B are arbitrary sets)? Yes/No
answers. The symbols for set operations are difficult in html, so the
notation here is odd.
- if A subset B and B={Ø} then A=B.
- if A subset B and B={Ø} then A=Ø.
- Ø elementOf A
- Ø subset A
- (A union Bc)c = B intersect Ac
- A intersect B = (Ac union Bc)c
- (A - B) intersect (B - A) = Ø
- if A x B = Ø then A=Ø and B=Ø
- A subset A x A
- A x A = A for some A
d, e, f, g, j are true
-
- How many one-to-one functions from {a, b, c, d} onto {1, 2, 3, 4, 5}
are there?
None. To be one-to-one and onto the sets must have the same
number of elements.
- How many one-to-one functions f from {1, 2, 3, 4, 5} onto
itself are there such that f = f -1?
This can happen only when items are swapped in pairs. There is
one function where none are swapped. There are C(5, 2) where a
single pair is swapped. There are C(5, 2) * C(3, 2) / 2 where two
pairs are swapped. The solution is the sum of these: 1 + 10 + 15 =
26.
- Let f be function. Which of the following are true?
f(A intersect B) = f(A) intersect f(B)
False. Let A be the interval [0, 1] and B be the interval [2,
3].
f(A union B) = f(A) union f(B)
True. Consider y in f(A union B). By definition, there
exists an x in A union B such that f(x) = y. Note that x is in A
or x is in B. If x is in A then y=f(x) is in f(A). If x is
in B then y=f(x) is in f(B). In either case, y is in f(A) union
f(B). Consider y in f(A) union f(B). Similar arguments show
that y is in f(A union B).
f -1(C intersect D) = f -1(C)
intersect f -1(D)
True. Consider x in f -1(C intersect D). By
definition there exists a y in C and in D such that f(x)=y. By
definition, f -1(C) contains x and f -1(D)
contains x. Similar arguments show the other direction.
f -1(C union D) = f -1(C) union
f -1(D)
True. Consider x in f -1(C union D). By
definition there exists a y in C or in D such that f(x)=y. In
either case, x is in f -1(C) union f -1(D).
Other direction is similar.
f(A) = f(A)
False.
f -1(C) = f
-1(C)
True. x in f -1(C)
iff f(x) in C iff not(f(x)
in C) iff not(x in f -1(C)) iff x in f
-1(C).
- Yes/No answers. Is it true that n2 is O(g(n)) if g(n) is
- 100n2 + 101n
- n3
- n log n
- n2log n
- n2 + log n
True for a, b, d, and e.
-
- Use the Euclidean Algorithm to find gcd(111, 2222).
gcd(111, 2222) = gcd(111, 2) = gcd(1, 2) = 1
- Find the inverse of 6 modulo 11.
2
- Find a positive integer x such that x = 3(mod 9) and x = 5(mod 10).
75
-
- Determine which of the following propositions are tautologies. Show
why.
(p → ¬q) → ( ¬q → p)
Not a tautology. Consider p and q both false.
[(p or q) → r] ↔ [(p → r) and (q → r)]
Tautology. Can show by manipulating propositions or by truth
table.
- Write down a proposition P over the variables p, q, and r such that P
is true only when p, q, r have truth values FFT or TFT.
( ¬p and ¬q and r) or (p and ¬q and r). This is
equivalent to ( ¬q and r).
- Can such a P be constructed using the connectives and and
→ only (no truth constants for T and F are allowed)? If yes, do
so. Otherwise show why not.
No. Note that P is false when p, q, and r are all true.
But any combination of and and → is always
true.
-
- Let L(x, y) be x loves y. Write the following as formal sentences with
quantifiers.
Everybody loves somebody. (for all x)(there exists y)L(x, y)
Everybody loves everybody. (for all x)(for all y) L(x, y)
Somebody loves everyone. (there exists x)(for all y) L(x, y)
Somebody loves someone. (there exists x)(there exists y) L(x,
y)
- Which of the following sentences are logically equivalent (answer
only)? In principle you have to determine the equivalence of all 6 pairs
of sentences. Assume B does not contain x.
(for all x)(A(x) →B),
(for all x)A(x) →B,
(there exists x)(A(x) →B),
(there exists x)A(x) →B.
The middle two are equivalent and the first is equivalent to the
last. Here's a proof for the first and last: (for all x)(A(x)
→B)
<=> (for all x) [ ¬A(x) or B] by def of →
<=> (for all x) [¬A(x)] or B by cases (B true
or B false)
<=> [¬(there exists x) A(x)] or B by negation
of quantifiers
<=> (there exists x) A(x) → B by def of →
- Which of the following are always true (A, B, C are arbitrary sets)?
Yes/No answers.
if A subset B and B subset A then A = B
- if A subset B and B subset A then A = B
True
- Ø elementOf {Ø}
True
- Ø elementOf A
False
- Ø subset A
True
- if A != B and B != C then A != C
False
- A-B = (Ac - Bc)c
False (consider A=B)
- (A - B) intersect (B - A) = Ø
True
- Ø x A = Ø
True
- A x B = B x A
False
- A union B = A
union B
False
- How many one-to-one functions f from {1, 2, 3, 4, 5 }onto itself
are there such that f ◦f ◦f is the identity
function?
We know that f(f(f(x))) = x. This can only happen if f(x)=x or if x
is part of a 3-cycle (i.e., x maps to f(x) which maps to f(f(x)) which maps
to x and x, f(x), and f(f(x)) are all different). There are only 5
elements, so there is only room for one 3-cycle. How many possible 3
cycles are there? There are C(5, 3) ways to choose 3 element.
Once those elements are chosen there are 2 ways to form them into a 3-cycle
(i.e., 1→2→3 is different from 1→3→2, but is the
same as 2→3→1). So there are 2C(5, 3) = 20 ways to have a
3-cycle; plus we have one more for no 3-cycles. Thus the total number
of functions is 21.
- Yes-No answers. Is it true that n2 is O(g(n)), if g(n) is
n No
n3 Yes
n log n No
2n Yes
n! Yes
n2log n Yes
n2 + log n Yes
n2 / log n No
(n4 +1)/(n2 +1) Yes
(n4 +1)/(n +1) Yes
- Find 520001 (mod 143). The answer should be a standard integer
between 0 and 143.
Ideally, we'd like to use Fermat's Little Theorem [ ap-1 = 1
(mod p) for p prime], but 143 is not prime since 143 = 11*13. Note
though that, by Fermat's Little Theorem, 510 = 1 (mod 11) and 512
= 1 (mod 13). Thus 520001 = 5 (mod 11) and 520001
= 59 (mod 13). Further, 52 = 25 = 12 = -1 (mod
13), so 520001 = 59 = 5(52)4 =
5(-1)4 = 5 (mod 13). In other words, 520001 - 5
is divisible by both 11 and 13. This implies that 520001 -
5 is divisible by 143, so the final answer is 5.
-
- Suppose that S(n) is a proposition involving a nonnegative integer n,
and suppose that if S(k) is true then so is S(k + 2). Which of the
following are possible (answer only)?
S(n) holds for all n ≥0, Possible
S(n) holds for all n ≥1, but S(0) is false, Possible
S(n) is false for all n ≥0, Possible
S(n) is true for all n ≤100 and false for all n >100,
Not possible
S(n) is false for all n ≤100 and true for all n >100.
Possible
- A collection S of strings of characters is defined recursively by (1)
the empty string is in S and (2) if X belongs to S then so does aXb.
Which of the following belong to S (Yes-No answers):
a No
b No
c No
ab Yes
abb No
aabb Yes
-
- A questionnaire is sent to 13 freshmen, 5 sophomores, 15 juniors, and
20 seniors. A student won’t necessarily return his/her questionnaire.
How many questionnaires must be received to ensure getting 9 from the
same class?
We can receive 8 from freshmen, 5 from sophomores, 8 from juniors,
and 8 from seniors without getting 9 from any one group. If we get
one more, we have have at least 9 from some group so the answer is
8+5+8+8+1 = 30.
- How many bit strings are there of length 10 with two or more 1’s in
the string?
There are 210 bit strings. Of these 1 has no ones
and 10 have exactly one 1. So the answer is 1024 - 10 -1 = 1013.
-
- Find the number of positive integer solutions of x + y + z ≤100.
We use a standard trick to convert this inequality into an equality:
introduce a new variable w. The problem becomes: Find the number
of solutions to w + x + y + z ≤ 100 subject to the
constraints that w>0 and x, y, and z are > 1.
Consider w, x, y, and z as bins. Bins x, y, and z each start out
holding one star. We now have 97 stars to distribute into 4 bins
(i.e., 3 bars). Thus the answer is C(100, 3).
- A hostess wishes to invite 6 dinner guests. In how many ways can she
place them on 6 distinguished seats?
6! = 720
- The same question for a round table with indistinguishable seats.
We place one guest. Now there are 5! = 120 ways to place the
remaining guests.
- Two fair dice are rolled. What is the probability that
- the number on the first die is strictly less than the number on the
second die?
15/36 = 5/12.
- one of those numbers is strictly less than the other one?
This is always true except when doubles are rolled. Answer:
30/36 = 5/6.
- the product of those numbers is even given that their sum equals 6?
There are 5 ways for the sum to be 6 [(1, 5), (2, 4), (3, 3), (4, 2),
(5, 1)]. Of these 2 have an even product. The answer is 2/5.
- A couple agrees to keep having children until they have at least one boy
and one girl, but not more than 5 children. Assume that boys and girls are
equiprobable and that the births are mutually independent. What is the
expected value and variance of the number of
- children ?
Let X be the random variable representing the number of children.
We can list all the patterns that can occur: BG, GB, BBG, GGB, BBBG,
GGGB, BBBBG, GGGGB, GGGGG, BBBBB. The probability for each pattern
is 1/2i where i is the length of the pattern. So E(X) =
2(1/4 + 1/4) + 3(1/8 + 1/8) + 4(1/16 + 1/16) + 5(1/32 + 1/32 + 1/32 +
1/32) = 1/8[8 + 6 + 4 + 5] = 23/8.
E(X2) = 4(4/8) + 9(2/8) + 16(1/8) + 25(1/8) = (16 + 18 + 16 +
25)/8 = 75/8.
V(X) = E(X2) - E(X)2 = 75/8 -(23/8)2 =
71/64.
- girls ?
Let B and G be the random variables for number of boys and number of
girls, respectively. We know that E(X) = E(B+G) = E(B) + E(G).
By symmetry E(B) = E(G). Thsu E(G) = 23/16.
E(G2) = 02(1/32) + 12(1/4 + 1/4 + 1/8 +
1/16 + 1/32) + 22(1/8) + 32(1/16) + 42(1/32)
+ 52(1/32) = (0 + 23 + 16 + 18 + 16 + 25)/32 = 98/32.
V(G) = E(G2) - E(G)2 = 255/256.
- An integer is randomly selected from 1 to 1000. What is the probability
that it is divisible by 2 or by 3 or by 5?
Use inclusion/exclusion. Let A be the event "divisible by
2", B be the event "divisible by 3", and C be the event
"divisible by 5".
P(A union B union C) = P(A) + P(B) + P(C) - P(A intersect B) - P(A intersect
C) - P(B intersect C) + P(A intersect B intersect C) = (500 + 333 + 200 -
166 - 100 - 66 + 33)/1000 = 734/1000.
- Give an example of a relation R that is
- symmetric, not reflexive
R = {(x, y) | x = -y}
- reflexive, symmetric, not transitive.
R = {(x, y) | |x-y| = 1}
-
- How many vertices and edges does the graph Q5 have?
The number of vertices doubles each time the dimension increases, so
there are 25 = 32 vertices. Each vertex has degree 5,
so the number of edges is 32*5/2 = 80.
- A graph has 7 vertices, 3 of them of degree two and 4 of degree one.
Is this graph connected? Why?
No. We can count the number of edges: (6 + 4) / 2 = 5. A
tree on 7 vertices has 6 edges, so the graph cannot have spanning tree
and thus it cannot be connected.
- Which of the following graphs are planar? (Answer only)
K5 Not planar
Q3 Planar
K2,5 Planar
K3,5 Not planar
K4,5 Not planar
-
- Suppose that S(n) is a proposition involving a nonnegative integer n,
and that if S(k) is false for all k<n then so is S(n). Which of
the following are possible (answers only).
S(n) is false for all n. Possible
There is an integer M > 0 such that S(n) is true for all n <
M and false for all n > M. Impossible due
to S(0). The problem statement requires S(0) to be false.
S(n) is true for all n. Impossible due to
S(0)
There is an integer M > 0 such that S(n) is false for all n <
M and true for all n > M. Impossible
- A collection S of strings of characters is defined recursively by (1)
a belongs to S and (2) if Xa belongs to S then so do Xaa and Xb.
Which of the following belong to S?
b
aa
ab
abb All belong except this one.
aab
-
- How many students must be in a class to guarantee at least k students
with the same birthday in the year 2000? Answer for k=1, k=2, and
k=3.
The year 2000 has 366 days (it's a Leap Year). Answers are 1,
367, and 733, resepctively.
- A multiple choice exam has 20 questions, each with 5 possible answers,
and 7 additional questions, each with 3 possible answers. How many
different answer sheets are possible?
52037.
-
- In how many ways can a committee of 3 mathematicians and 5 computer
scientists be selected from a panel of 20 having 10 mathematicians and
12 computer scientists?
The panel must have 2 people who are both mathematicians and computer
scientists. Of the remainder 8 are mathematicians only and 10 are
computer scientists only. The committee can include both of the
two dual-career people, one of the two dual-career people or none of the
two dual-career people. The answer is
C(8, 1) C(10, 3) + 2 C(8, 2) C(10, 4) + C(8, 3) C(10, 5).
- Find the number of positive integer solutions of x + y <
100.
We convert this to w + x + y = 100 where w > 0, x > 0 ,
and y > 0. Thus, we have 98 items to place into 3 bins
(i.e., two bars). The answer is C(100, 2) = 4950.
-
- Find the probability that a family with six children has a boy and a
girl (sexes of children are assumed equiprobable and independent).
There are 26 = 64 possible ways to have a family of 6
children. Of these there are just 2 ways to avoid having both a
girl and a boy. Answer: 62/64 = 31/32.
- What is the most likely number of boys?
Let B be the random variable for the number of boys.
E(B) = 0(1/64) + 1(6/64) + 2(C(6, 2)/64) + 3(C(6, 3)/64) + 4(C(6, 4)/64)
+ 5(C(6, 5)/64) + 6(1/64)
= (6 + 30 + 60 + 60 + 30 + 6)/64 = 192/64 = 3.
Alternately, let G be the random variable for the number of girls.
We know 6 = E(B+G) = E(B) + E(G). By symmetry E(G) = E(B) = 3.
- Find the probability of having at least one girl given the first three
children are boys.
Let A be the event "at least one girl" and let B be the
event "the first 3 are boys". We want to find P(A|B) =
P(A intersect B) / P(B) = [(3 + 3 + 1)/64] / [8/64] = 7/8.
- A fair die is rolled until the sum of the spots exceeds 2. What is
the expected number of rolls?
The only way to use 3 rolls is to roll 1, 1, and then anything.
Two rolls are used by 1, anything>1.
Two rolls are used by 2, anything.
One roll is used by anything>2.
Expected number of rolls = 3(1/6)(1/6) + 2(1/6)(5/6) + 2(1/6) + 1(4/6) = (3
+ 10 + 12 + 24)/36 = 49/36.
- An integer is randomly selected from 1 to 100. What is the
probability that it is divisible by 2 or by 3, but not by 5?
Let A be the event "is divisible by 2", B be the event "is
divisible by 3", and C be the event "is divisible by 5".
Observe that the event we want is (A union B union C) - C and that C is a
subset of (A union B union C). Thus we want P(A union B union C) - P(C).
P(A union B union C) - P(C) = P(A) + P(B) - P(A intersect B) - P(A intersect
C) - P(B intersect C) + P(A intersect B intersect C)
= (50 + 33 - 16 - 10 - 6 + 3)/100 = 54/100.
- Give an example of a relation on {a, b, c} which is
- reflexive, not symmetric
The standard < works here.
- irreflexive, symmetric
The not-equal relation works here.
- reflexive, symmetric, not transitive
R = {(a, a), (b, b), (c, c), (a, b), (b, a), (b, c), (c, b)}
-
- Reorder the words in this phrase lexicographically.
in, lexicographically, phrase, Reorder, the this, words
- Find the smallest possible poset having exactly two minimal elements
and exactly three maximal elements. Does it have a greatest
element and a least element (answers only)?
Use {a, b, c, d} where d<b and d<c. This
results in a, b, and c maximal, while a and d are minimal. There
is no greatest elements or least element.
-
- Indicate all possible vertex degrees occurring in the following
graphs: K3, C17, K3,5, Q4.
2, 2, (3, 5), 4
- Is there a simple graph with exactly 3 vertices of degree 3?
Yes (there have to be some other vertices of odd degree as well).
- Is there a simple graph with 10 vertices and 46 edges?
No. The complete graph on 10 vertices has C(10, 2) = 45 edges.
- Is there a connected graph with 100 vertices, 96 of them of degree two
and 4 of degree one?
No. Such a graph would have [(2*96) + 4 ] / 2 = 98 edges.
A spanning tree on 100 vertices needs 99 edges, so such a graph cannot
be connected.
- Which of the graphs in 30a are planar (answers only)?
planar, planar, not planar, not planar
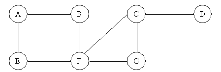
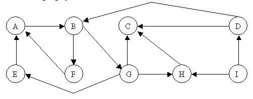
- Consider the following graph.

Draw the Breadth-First-Search (BFS) tree for this graph. Whenever there is a
choice of vertices, choose the one earliest in the alphabet. A
/ \
B E
|
F
/ \
C G
|
D
- Consider the following digraph.
Which vertices are in the same weakly connected component as A? All
are.
Which vertices are in the same strongly connected component as A? A,B,E,F,G.
Draw the
Breadth-First-Search (BFS) forest for this graph. Whenever there is a
choice of vertices, choose the one earliest in the alphabet.
A D I
|
B
/ \
F G
/|\
C E H
- Which of the following statements are true for any sets A and B. Bc
represents the complement of B.
- A subset (A union B) - B
- A - B = A intersect Bc
- (A intersect B) union B = A
- Ø subset A intersect B
- A = A union {Ø}
b, d are true.
- An instructor gives an exam with 8 questions. The students are told to
choose any 6 of the questions to answer (i.e., each student is instructed to
skip two questions, student's choice). When the tests are graded, the
instructor observes: (1) No two students chose to answer the same set of 6
questions. (2) If the class had just one more student then it would not have
been possible for (1) to hold.
- How many students are in the class?
There are C(8,6) = 28 ways to choose the 6 out of 8 questions.
So there are 28 students in the class.
- A student taking the exam has 50 minutes to spend on 6 questions. How
many different ways are there to distribute the 50 minutes among the 6
questions? The questions are distinguishable (i.e., the pattern (45, 1,
1, 1, 1, 1) is considered to be different from the pattern (1, 1, 1, 1,
1, 45)). Assume that each minute is devoted to a single question (i.e.,
no partial minutes) and that each question requires a minimum of 1
minute. Assume the student uses all 50 of the minutes.
We have 50 items to place into 6 bins. Each bin must contain 1
item. After distributing one item to each bin, we are left with 44
remaining items to place into 6 bins. Thus we have 44 stars and 5
bars, so the solution is C(49, 5).
- How many different ways are there if the student doesn't necessarily
use all 50 minutes?
This just introduces a new bin where the extra minutes are
placed. We now have 50 items to place into 7 bins; 6 of the bins
must hold at least one item. In other words, we have 44 items to
place into 7 bins; 44 stars and 6 bars. The solution is C(50, 5).
- Consider the number 107107. What is the second digit from the
right when this number is written in standard number notation? (Example: The
second digit from the right in the number 9988776654321 is 2.)
To get the second digit, we work (mod 100). 107107 = 7107
(mod 100). Now we need to know about powers of 7. 72
is 49, 73 is 343=43, 74 is 301=1 (all mod 100).
So we know we can take the exponent (mod 4) to get the final answer: 7107
= 73 = 43 (mod 100). The second digit is 4.
-
- A string is built using the following steps, in order. Whenever there
is a choice, each choice is equally likely. (1) Randomly choose an
element from {T, F}. (2) Randomly choose an element from {and, or,
implies}. (3) Randomly choose an element from {T, F}. The
resulting string is a (trivial) logical proposition. What is the
probability that this proposition evaluates to True?
There are 2*3*2 = 12 possible strings. Of these, the ones that
are True are (T and T), (T or T), (T or F), (F or T), (T implies T), (F
implies T), and (F implies F). So the probability is 7/12.
- A string is built using the following steps, in order. Whenever there
is a choice, each choice is equally likely. (1) Randomly choose an
element from {p, not p, T, F}. (2) Randomly choose an element
from {and, or, implies}. (3) Randomly choose an
element from {p, not p}. The resulting string is a logical
proposition. What is the probability that this proposition is a
tautology?
This time there are 4*3*2 = 24 possible strings. Of these, the
ones that are tautologies (i.e., always true) are (T or p), (T or not
p), (p or not p), (not p or p), (F implies p), (F implies not p), (p
implies p), and (not p implies not p). So the probability is 8/24
= 1/3.
- Consider a simple dice game involving a pair of dice. When the dice are
rolled, the player wins if 7 is rolled or if doubles (i.e., both dice show
the same number) are rolled.
- If the game is played 100 times, what is the expected value and
variance of the number of wins?
This is a Bernoulli trial problem. The probability of success
is p = (6+6)/36 = 1/3. For n Bernoulli trials the expectation is
np = 100*(1/3) = 100/3. The variance is npq = (100)(1/3)(2/3) =
200/9.
- Suppose the game as stopped as soon as either (1) the player wins or
(2) the dice are rolled 3 times. What is the expected number of dice
rolls?
Let X be the number of rolls.
p(X=1) = 1/3 = 3/9.
p(X=2) = (2/3)*(1/3) = 2/9.
p(X=3) = (2/3)*(2/3) = 4/9.
E(X) = (3/9)(1) + (2/9)(2) + (4/9)(3) = (3+4+12)/9 = 19/9.