Division of Integers

(6 scanned slides from CS280 Fall 1999)

Slide 1      (.jpg)
Slide 2      (.jpg)
Slide 3      (.jpg)
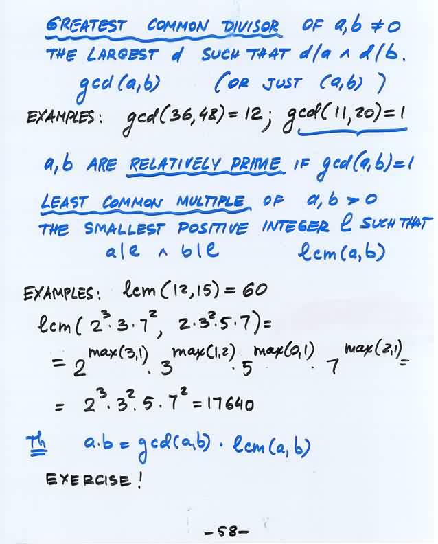
Slide 4      (.jpg)
Slide 5      (.jpg)
Slide 6      (.jpg)
 
 ->  all 6 slides at once     (typically at least 336682 bytes of image data to download)

Trying to print? These ~400k PDFs are probably the safest bet:    1-up [6 pages]    4-up [2 pages]

"4-up" format is also available in HTML.


index of all thirty-seven lectures