Comparing Functions

(7 scanned slides from CS280 Fall 1999)

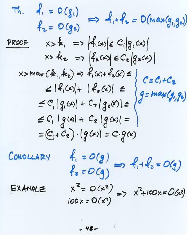
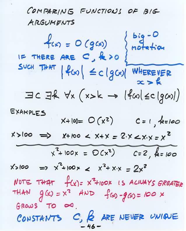
Slide 1      (.jpg)
Slide 2      (.jpg)
Slide 3      (.jpg)
Slide 4      (.jpg)
Slide 5      (.jpg)
Slide 6      (.jpg)
Slide 7      (.jpg)
 
 ->  all 7 slides at once     (typically at least 330417 bytes of image data to download)

Trying to print? You may find that the "all 7 slides at once" option makes life a bit easier.

"4-up" format is now available, as well.


index of all thirty-seven lectures