lecture 5 - cs280 fall 1999
 
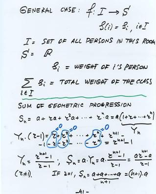
slide 1 slide 2
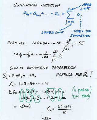
slide 3 slide 4
 
slide 5 slide 6
slide 7 slide 8