lecture 21 - cs280 fall 1999
 
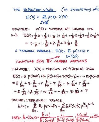
slide 1 slide 2
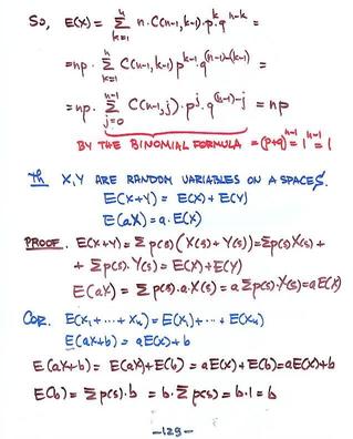
slide 3 slide 4
 
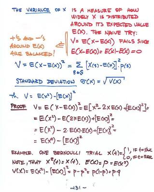
slide 5 slide 6
slide 7