lecture 15 supplement: 10/03  - cs280 fall 2001  
 
slide 1
 
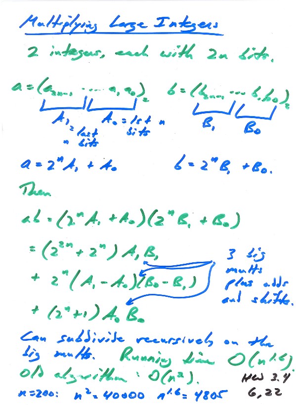
slide 2
 
slide 3