CS212 Exams
Spring 1998 - Prelim
2

Solution to Induction


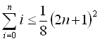
P(n):

Claim: For all n 0, P(n) is true

Proof by Induction on n

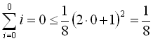
Base Case n = 0

Inductive Step Let n 0
Assume P(n) is true [Induction Hypothesis]
Prove P(n + 1) is also true


Question

Return to CS 212 Prelim 2 - Spring 1998